所屬科目:工程數學(應用數學, 線性代數、微分方程、複變函數與機率)
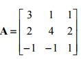
1 設矩陣 ,下列何者不是 A 的特徵值(eigenvalue)? (A)1 (B)2 (C)3 (D)4
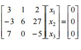
3 關於線性方程式,下列敘述何者正確?(A)具有唯一解 (B)具有無窮多個解 (C)無解 (D)(x1,x2,x3)=(5,‒27,7)為一解
4 設 S 為型態的所有 R 3向量所組成的集合(其中 x, y ∈ R ),則向量在 S 上的投影向量為何?(A) (B)(C)(D)
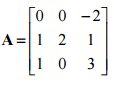
5 給定矩陣,下列敘述何者錯誤? ⎢⎣1 0 3 ⎥⎦ (A){[1 2 1],[0 1 ‒1],[0 0 1]}可為矩陣 A 列空間(row space)的一組基底(basis) (B){[0 1 1]T,[0 2 0]T,[ ‒2 1 3]T}可為矩陣 A 行空間(column space)的一組基底(basis) (C)矩陣 A 的零空間(null space)之維度(nullity)為 1 (D)矩陣 A 的秩(rank)為 3
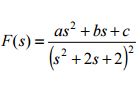
6 假設函數 f (t ) = te −t cos t 的拉普拉氏轉換(Laplace transform)為 ,其中 a, b, c是常數,求 a+b+c=? (A)‒3 (B)‒1 (C)1 (D)3
8 下列複數函數何者在任意範圍都是可微分(differentiable)?其中 z = x + yi。 (B) f ( z) = Im[z ] 2 (A) f ( z) = z (C) f ( z ) = log ( z ) (D) f ( z ) = x 3 + 2 xy 2 + i ( y 3 + 2 x 2 y )
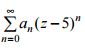
9 令 為一複數冪級數(complex power series),且已知其收斂半徑為 3,則下列敘述何 n =0 者錯誤? (A)此級數在 z = 0 收斂 (B)此級數在 z = 5 收斂 (C)此級數在 z = 7+2i 收斂 (D)此級數在 z = 3 ‒ 2i 收斂
10 下列何者為微分方程式 y′′ − 2 y′ + y = −12e x 之通解(其中 )?(選項中,c1、c2 為任意常數) dx (A) y = c1 + c2 e x − 6 xe x (B) y = c1e x + c2 xe x − 6 x 2 e x (C) y = c1 + c2e x − 24 xe x (D) y = c1e x + c2 xe x − 24 x 2e x
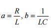
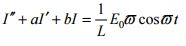
11 下圖顯示一串聯 RLC 電路,其輸入電壓為 E (t ) = E0 sinϖ t ,串聯電流為 I(t)。描述此電路之二次 1 微分方程式為。試求出 a 及 b 值。 (A) (B) (C) (D)
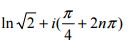
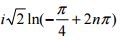
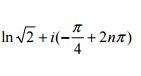
13 z = 1 + i ,則複數對數 ln z 為何?(選項中 n 為整數) (A) (B) (C) (D)
14 令矩陣 ,若有一可逆矩陣 Q 與一對角矩陣 D 滿足 A = QDQ−1,試問 D 可為何? (A) (B) (C) (D)
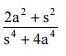
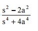
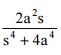
15 求 cosh(at)cos(at)之拉普拉氏轉換(Laplace transform)為下列何者? (A) (B) (C) (D)
16 假設週期函數 f (t ) = t 2 , − 1 ≤ t < 1 ,週期為 2,求其 Fourier 級數中的常數項。(A) (B) (C) (D)
17 試求 * cos 10 t 為何?其中*表示迴旋積分(convolution integral)。 (A) (B) (C) (D)0
一、試求之特徵值及特徵向量。(10 分)
⑴試求一可逆矩陣 Q 與一對角矩陣 D 使得 D = Q −1AQ ,其中 D 必須為的型式。(10 分)
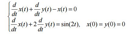
三、試用拉普拉氏轉換(Laplace transform)方法求解聯立微分方程式: 。(10 分)
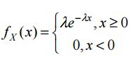
四、一隨機變數 X 之機率密度函數(density function)為 , 其中 λ > 0 ,求 E [X|X > 5]為何?(15 分)