所屬科目:工程數學(應用數學, 線性代數、微分方程、複變函數與機率)
1 下列那一組值會使矩陣 為“歪斜對稱”(skew-symmetric)矩陣? (A)a = 1, b = 2, c = 3 (B)a = 1, b = -2, c =- 3 (C)a = -1, b = -2, c = -3 (D)a = -1, b = 2, c = -3
3.求矩陣 的秩(rank)為何? (A)1 (B)2 (C)3 (D)0
4 令收斂區間為 ,試求複變數函數以勞倫茲級數(Laurent series)表示時, 其留數(residue)應為下列何值? (A)0 (B) (C)1 (D)
5 令矩陣 ,利用 QR 分解可得 A = QR,其中 Q 為一 3×2 正規正交行矩陣(orthonormal column matrix), 為一 2×2 上三角矩陣(upper triangular matrix),且 a、b、c 均大於 等於零,則下列敘述何者正確? (A)a+b+c = 5 (B)abc = 5 (C)a-b-c = 4 (D)ab+bc+ca = 4
6 已知線性轉換 ,且定義為 。下列何者為 ker(T)的基 底(basis)? (A){(-3, 0, 1, 0), (-1, 2, 0, 1)} (B){(-3, 0, 1, 0), (-4, 2, 1, 1), (0, 1, 3, 1)} (C){(2, 4, 1, 0), (-4, 2, 1, 1), (0, 1, 3, 1)} (D){(2, 4, 1, 0), (0, 1, 3, 1)}
7 求複變函數積分之值,其中積分路徑 C 為複數平面上逆時鐘方向繞圓周 , 以及。 (A) (B) (C)3πi (D)0
9 假設矩陣 A 為 3×3 的方陣,且其特徵值(eigenvalues) ,求 A50 =?選 項中 I 為 3×3 單位方陣。 (A)A (B)- A (C)I (D)-I
10 假設 z = 3+2i,求 ? (A) (B) (C) (D)
11 求微分方程式 ′ =+ sin xyyx 的解。(選項中 C 為任意常數)(A)(B)(C)(D)
12 下列何者是互為線性相依(linear dependent)? (A)(B) (C)(D)
13 設為之解,則 之值為何?(A)0 (B)2 (C)4 (D)∞
14 以 Frobenius 級數 求解,則其所得到的指示方程式 (Indicial equation)為何? (A) (B) (C) (D)
15 已知 的拉普拉斯(Laplace)轉換為 ,當給定一微分方程 為,下列何者正確? (A)(B) (C) (D)
16 白努利方程式(Bernoulli equation)可以何方式轉換為線性方程式? (A)以變數變換 轉換 (B)以變數變換 轉換 (C)以變數變換 轉換 (D)要先知道一特解 S(X)後,以變數變換 轉換
17 下列何者為函數 之傅立葉級數(Fourier series)? ( (A) (B) (C)(D)
18 給定一個連續隨機變數 X,其累積分布函數(cumulative distribution function) ,則機率之值為何? (A) (B) (C) (D)
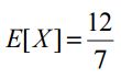
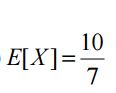
19 離散隨機變數 X 與 Y 之結合機率質量函數(joint probability mass function)為: ,試問下列何者正確? (A) (B) (C) (D)
20 投擲一個公正的骰子一次,規定出現點數 1,2,3,4 為成功(X=1),出現其餘點數則為失敗 (X=0),求隨機變數 X 之變異數 Var(X)為何? (A) (B) (C)(D)
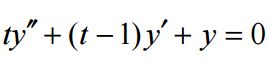
二、解微分方程,其中 ;求滿足下列條 件之解 y(0) = 0 及 y(1) = 2。(15 分)
三、請求出週期函數 ,其中 ,之傅立葉 級數,再利用此級數求 之值。(10 分)