所屬科目:化學反應工程學
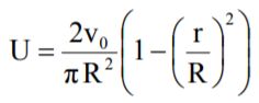
二、一層流反應器(Laminar Flow Reactor, LFR)之長度為 L,軸向流速分 布可表示為: ,其中 v0 為體積流率,R 為反應器 之半徑,r 為反應器之徑向距離。試推導滯留時間分布(Resident time distribution function, E(t))。(25 分)