阿摩線上測驗
登入
首頁
>
熱物理
> 108年 - 108 公務升官等考試_簡任_物理:熱物理研究#80510
108年 - 108 公務升官等考試_簡任_物理:熱物理研究#80510
科目:
熱物理 |
年份:
108年 |
選擇題數:
0 |
申論題數:
10
試卷資訊
所屬科目:
熱物理
選擇題 (0)
申論題 (10)
⑴
⑵
⑶
⑷
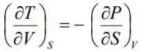
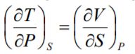
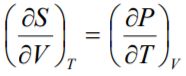
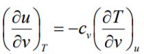
二、證明
。(20 分)
⑴計算在正常熔點下冰的熔融曲線的斜率(單位:N m
-2
K
-1
)。在此溫度 下的熔化熱為 3.34 × 10
5
J kg
-1
,熔化時的比容(specific volume)變化 為-9.05 × 10
-5
m
3
kg
-1
。(10 分)
⑵冰在一大氣壓和-2℃的狀態下等溫壓縮。計算冰開始熔化時的壓力。 (10 分)
⑶計算-2℃下冰的(∂P/∂T)
ν
。(-2℃下的膨脹率β = 15.7 × 10
-5
K
-1
和等溫 壓縮率κ = 120 × 10
-12
m
2
N
-1
)(5 分)
⑷將-2℃和一大氣壓下的冰保持在恆定體積的容器中,然後逐漸升高溫 度。計算冰開始熔化的溫度和壓力。假設熔融曲線與在恆定體積下之 壓力隨溫度的變化都是線性的。(15 分)
四、請利用圖和文字證明:沒有任一熱機的熱效率高於卡諾熱機的熱效率。 (20 分)
相關試卷
114年 - 114 公務升官等考試_薦任_物理:熱物理#133269
114年 · #133269
112年 - 112 公務升官等考試_薦任_物理:熱物理#117336
112年 · #117336
110年 - 110 公務升官等考試_薦任_物理:熱物理#103667
110年 · #103667
108年 - 108 公務升官等考試_薦任_物理:熱物理#80453
108年 · #80453
106年 - 106 公務升官等考試_薦任_物理:熱物理#66153
106年 · #66153
104年 - 104 公務升官等考試_薦任_物理:熱物理#41301
104年 · #41301
102年 - 102 公務升官等考試_簡任_物理:熱物理研究#43810
102年 · #43810
102年 - 102 公務升官等考試_薦任_物理:熱物理#43808
102年 · #43808
100年 - 100 公務升官等考試_薦任_物理:熱物理#45303
100年 · #45303
100年 - 100 公務升官等考試_簡任_物理:熱物理研究#45278
100年 · #45278