所屬科目:高中指考◆化學
1. 鈉是人體中重要的電解質之一,其攝取量對健康影響很大。專家建議成年人每日鈉的攝取量,應以2400毫克為限。味精是一種麩胺酸的鈉鹽( ,莫耳質量為169g/mol),是麩胺酸的一個鈉鹽。食用1.0克味精,鈉含量相當於攝取食鹽約多少克? (A) 0.35 (B) 0.45 (C) 0.55 (D) 0.65 (E) 0.75
3. 正電子放射斷層攝影是先進的癌症診斷技術之一。目前使用的放射性藥劑是含有 18F有的氟代去氧葡萄糖,半衰期約為2小時。若從加速器製得的藥劑,運送至醫院所需時間為10小時,當醫院需要含有1.0 毫克 18F 的氟代去氧葡萄糖的藥劑,則從製造端運送出的藥劑至少需含有 的氟代去氧葡萄糖若干毫克?(A)64 (B) 32 (C) 20 (D) 10 (E) 5
5. 取含有 雜質的金塊樣品3.2 克,以適量鹽酸使雜質恰完全作用,釋出的Fe3+再以鐵還原成 Fe2+,該溶液中無 Fe3+殘留,其反應如式(1)及式(2)。用去離子水將該溶液稀釋至100毫升,取該稀釋液10毫升,在標準狀況下通入氯氣13.44毫升(視為理想氣體),可將 Fe2+完全氧化,如式(3)所示,該溶液中無 Fe2+殘留。試問金塊樣品中所含的重量百分比為多少(%)?( 莫耳質量為160g/mol) (A) 20 (B) 30 (C) 40 (D) 50 (E) 60
9. 李同學在實驗室發現兩瓶相同體積的酸性溶液,為了獲知兩瓶溶液的濃度及酸的強度,於是用0.2 M的氫氧化鈉溶液分別對兩瓶酸進行滴定。以所加入氫氧化鈉溶液的體積(毫升)為X軸,溶液的pH值為Y軸,得到的滴定曲線如圖1所示。下列敘述,哪一項錯誤? (A)兩瓶酸的濃度相近 (B)圖中甲點附近平緩曲線區是緩衝溶液 (C)圖中的甲點pH值即為此酸的 pKa值 (D)實線的滴定曲線是強酸,虛線的滴定曲線是弱酸 (E)圖中的乙、丙兩點分別代表這兩瓶酸溶液的滴定當量點
10. 有關測定草酸鎂溶度積常數的實驗,下列敘述,哪一項錯誤? (A)飽和草酸鎂溶液中的離子濃度與溶度積關係為 (B)可測定飽和溶液中鎂離子濃度來獲得溶度積常數 (C)加入過量的草酸鎂固體於水中,可測量溶解前和溶解後的草酸鎂質量來獲得溶度積常數 (D)飽和草酸鎂溶液中有許多懸浮微粒,可利用離心機使其沉澱,再取上層澄清液進行實驗 (E)將飽和草酸鎂溶液加熱至95℃,再用已知濃度的過錳酸鉀溶液趁熱滴定,可獲得溶度積常數
13. 已知五種電中性的原子,其基態的電子組態如甲~戊所示: 下列有關此五種原子的敘述,哪一項正確? (A)戊原子為過渡金屬 (B)甲原子的第一游離能小於丁原子的第一游離能 (C)乙原子的電子組態由1s22s1 改變成為1s12s2時,會放出能量 (D)丙原子2p的兩個電子皆是填入2px 軌域中 (E)某原子的第一及第二游離能差異極大,則此原子最可能為乙
14. 銅葉綠素-鈉鹽是一個食用色素,常用於牙膏或口香糖,其化學結構如圖3所示。下列敘述,哪一項正確? (A)可溶於水,且溶液呈弱酸性 (B)銅葉綠素-鈉鹽中銅的配位數為6 (C)溶於水後,銅離子會和四個水分子形成穩定化合物 (D)銅葉綠素-鈉鹽溶於水後,生成的錯離子為正二價離子 (E)每莫耳的銅葉綠素-鈉鹽溶於水後,可產生3莫耳的鈉離子
15. 蔡同學為了從混合物中分離出有機化合物己,設計了一個萃取流程圖,如圖4所示。下列哪一選項,最有可能是化合物己? (A) (B) (C) (D) (E)
16. 分子的鍵結及構造有極大的差異,也有一些原則可以推測。下列相關的推論及敘述,哪一項正確? (A)臭氧的分子式為O3 ,為直線形分子,具共振結構 (B) H2O2與C2H2 ,具有相同數目的孤電子對 (C)下列分子均符合八隅體:SO2 、PH3 、NO2 (D)下列分子的鍵角大小依序為:CH4 >NH3 >H2O (E)下列分子均為平面形構造:
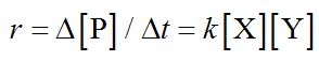
17. 某化學反應式為:X+Y → P+Q,化學反應路徑描述如圖5所示。已知其反應速率定律式為: 。下列有關此反應的敘述,哪些正確? (A)此反應為一級反應 (B)逆向反應的活化能為a (C)此化學反應為吸熱反應,反應熱 (D)由化學反應式即可推知反應速率定律式為 (E)將反應物X與Y的初始濃度增為原來的兩倍,則反應速率為原來的四倍
21. 碳化鈣加水後得到氣體甲;將甲與水在適當條件下進行加成反應,可得到乙;乙經還原反應可得到丙;若乙被氧化則可得到丁;丙與丁在酸催化下,會脫水而得到戊。各步驟的反應流程如圖6所示。 下列對各產物的敘述,哪些正確? (A)甲為乙炔 (B)乙為乙烯 (C)丙為乙醛 (D)丁為乙酸 (E)戊為乙酸乙酯
22. 戴奧辛是多氯二聯苯戴奧辛化合物的總稱,因戴奧辛脂溶性很高,易累積在脂肪中很難代謝出人體外。其中,2, 3, 7, 8-四氯雙苯戴奧辛(TCDD)的毒性最強,結構如圖7所示,是已知的致癌物。下列敘述,哪些正確? (A)TCDD具有幾何異構物 (B)TCDD中所有的碳原子皆具有相同的混成軌域 (C)TCDD中所有的氧原子皆具有兩對孤電子對 (D)多氯戴奧辛最多含有十個氯原子 (E)二氯取代戴奧辛與六氯取代戴奧辛具有相同的異構物數目
24. 托里切利水銀氣壓計可以量測大氣壓力,也可以用來量測揮發性液體的蒸氣壓。其方式如圖8所示:在固定溫度的情況下,用針筒將液體慢慢地從汞柱下方注入,每次僅注入少量的液體,並且要在注射完後,等待液體蒸發達到平衡。不斷重複此步驟,直到在汞柱表面看到一層薄薄的液體後,即可藉由汞柱下降高度測得此液體在此溫度下的飽和蒸氣壓。已知25℃時,水的飽和蒸氣壓為24 torr,乙醚的飽和蒸氣壓為545 torr。下列相關的敘述,哪些正確?(複選題) (A)若汞柱表面有液體出現,則注入液體為水時,汞柱下降程度比注入乙醚時大 (B)若分別注入等莫耳數的水與乙醚,但汞柱表面尚未有液體出現,則後者的汞柱下降程度比較大 (C)若汞柱表面有液體出現,則注入飽和食鹽水時,汞柱下降程度比注入純水時小 (D)在25℃且有乙醚液體出現時,其汞柱的高度為545毫米 (E)有乙醚液體出現的汞柱,當實驗溫度改為0℃時,其汞柱比25℃時高