阿摩線上測驗
登入
首頁
>
流體力學與水文學
> 108年 - 108 專技高考_環境工程技師:流體力學與水文學#80810
108年 - 108 專技高考_環境工程技師:流體力學與水文學#80810
科目:
流體力學與水文學 |
年份:
108年 |
選擇題數:
0 |
申論題數:
5
試卷資訊
所屬科目:
流體力學與水文學
選擇題 (0)
申論題 (5)
一、在一河川上游將飽和食鹽水以 30 cm
3
/s 的流率注入河水中,在下游採取河水進行水質 分析,得知水 1,000 cm
3
之中混有 40 mg 的食鹽。若上游不含鹽分,且此河段間無支 流流入及流出,試問河川的流量為多少 cms?假設飽和食鹽水 1,000 cm
3
中可溶解食鹽 350 g。(20 分)
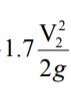
二、有一貯水槽如下圖,若 A 點至 B 點損失為
,B 點至 C 點損失為
,經由 2g 噴嘴之損失為
,求流量 Q 為多少 cms?(25 分)
三、30 年之日雨量紀錄中,50 mm/day 以上之雨量有 150 個,在此 150 個雨量紀錄中, 300 mm/day 以上有 1 個,試求 300 mm/day 以上之重現期距。(15 分)
四、寫出流體力學中雷諾茲數及福祿數二無因次參數之公式,並解釋此二參數之動力相 似定律用於何種水理條件中,請各舉一例。(20 分)
五、試說明流線(streamline)、徑線(pathline)及蹟線(streakline)之定義,以及在何種 條件下此三線會重合成一線。(20 分)
相關試卷
114年 - 114 專技高考_環境工程技師:流體力學與水文學#133719
114年 · #133719
113年 - 113 專技高考_環境工程技師:流體力學與水文學#123920
113年 · #123920
112年 - 112 專技高考_環境工程技師:流體力學與水文學#117659
112年 · #117659
111年 - 111 專技高考_環境工程技師:流體力學與水文學#111924
111年 · #111924
110年 - 110 專技高考_環境工程技師:流體力學與水文學#104182
110年 · #104182
109年 - 109 專技高考_環境工程技師:流體力學與水文學#93205
109年 · #93205
107年 - 107 專技高考_環境工程技師:流體力學與水文學#72893
107年 · #72893
106年 - 106 專技高考_環境工程技師:流體力學與水文學#66445
106年 · #66445
105年 - 105 專技高考_環境工程技師:流體力學與水文學#78789
105年 · #78789
104年 - 104 專技高考_環境工程技師:流體力學與水文學#36190
104年 · #36190