阿摩線上測驗
登入
首頁
>
流體力學與水文學
> 109年 - 109 專技高考_環境工程技師:流體力學與水文學#93205
109年 - 109 專技高考_環境工程技師:流體力學與水文學#93205
科目:
流體力學與水文學 |
年份:
109年 |
選擇題數:
0 |
申論題數:
4
試卷資訊
所屬科目:
流體力學與水文學
選擇題 (0)
申論題 (4)
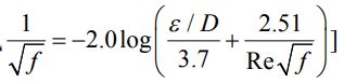
一、今有一個都市供水管網系統,由兩根平行的鑄鐵管並聯形成此一系統 (如圖一所示),其中甲管的尺寸為直徑 40 公分,長度 1600 公尺;另乙 管尺寸為直徑 50 公分,長度為 2500 公尺。假設在此兩根並聯鑄鐵管(甲 管及乙管)內的流況為完全紊流,並忽略所有次要損失(minor loss),今若乙管的體積流率是 0.5 立方公尺/每秒。
求甲管的體積流率,並請寫出管網系統分析時,所依據的兩個基本理論。
[鑄鐵管的表面粗糙度ε= 0.00026 公尺,
在水溫 15oC 時的水的密度ρ= 999.1 / 公斤每立方公尺,
水的動力黏滯係數
公斤/每公尺.每秒 。
Colebrook 方程式
二、在氣候變遷影響下,國內某一個雨量站 60 年內量測到所有降雨事件的降雨強度依序排列如下表:
試計算此雨量站過去60年降雨事件的相對頻率(以每10 mm 為一區間, 並以中間值代表該區間的降雨事件降雨強度),及計算超越降雨事件的累積頻率,並繪製相對頻率組體圖及累積超越頻率組體圖。今若要在當地設計一個水工結構物,其能承受的降雨強度為135 mm/hr;試計算此降雨強度的迴歸期限(return period)。
三、已知有一土柱實驗,其土柱長 20 公分,當實驗達到穩態階段時,土柱上 沿的柱水槽水深為 5 公分,下沿的出水口處連接到一個 U 型管壓力計, 量到的 U 型管內水位高與出水口的高程相同。同時,在土柱出水口徑上 15 公分及 5 公分處各有一個 U 型管壓力計量測該兩不同高程處的穩態 壓力,在 15 公分處的 U 型管壓力計內,其水位高出該量測點位置高程 3.75 公分,而 5 公分處的 U 型管壓力計內的水位高出該量測點高程 1.25 公分,上述各項參數,標示如圖二所示。
試以圖二右邊的水頭(h)及高程(Z)直角坐標系統中繪出此土柱實驗 的高程水頭、壓力水頭及總水頭三條水頭變化線,並標註各重要高程點 處的壓力水頭、位置水頭的數值。(假設此實驗的雷諾數(R)小於 10)
四、圖三為一個極寬的明渠流,從上游陡坡到緩坡,若上游水面自點 a 開始, 請繪出漸變流況下,此明渠的可能水面線,並說明水面線可能的剖面種類。
相關試卷
114年 - 114 專技高考_環境工程技師:流體力學與水文學#133719
114年 · #133719
113年 - 113 專技高考_環境工程技師:流體力學與水文學#123920
113年 · #123920
112年 - 112 專技高考_環境工程技師:流體力學與水文學#117659
112年 · #117659
111年 - 111 專技高考_環境工程技師:流體力學與水文學#111924
111年 · #111924
110年 - 110 專技高考_環境工程技師:流體力學與水文學#104182
110年 · #104182
108年 - 108 專技高考_環境工程技師:流體力學與水文學#80810
108年 · #80810
107年 - 107 專技高考_環境工程技師:流體力學與水文學#72893
107年 · #72893
106年 - 106 專技高考_環境工程技師:流體力學與水文學#66445
106年 · #66445
105年 - 105 專技高考_環境工程技師:流體力學與水文學#78789
105年 · #78789
104年 - 104 專技高考_環境工程技師:流體力學與水文學#36190
104年 · #36190