所屬科目:工程數學(應用數學, 線性代數、微分方程、複變函數與機率)
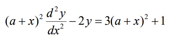
一、試求下列微分方程之完全解。(20 分)
二、試求矩陣 的特徵值(Eigenvalues)與特徵向量(Eigenvectors) 。(10 分)
四、 ,其中 n̂ 為 dA 指向外的法線方向單位向量。(10 分)
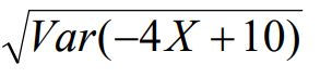
(三) − 4 X + 10 的標準差(standard deviation) 。(10 分) (請接背面)