所屬科目:北水◆電機機械及電力系統
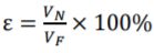
15.有關變壓器的電壓調整率 ε (voltage-regulation)的定義,下列何者正確?( VF 表示滿載時電壓, VN 表 示無載時電壓) (A) (B)(C)(D)
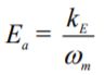
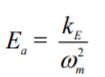
17.在永磁式直流電機方面, E a 表示電樞的感應電勢, ω m 表示電機的轉速, k E 表示轉速電壓常數,下 列關係式何者正確?(A) (B) (C) (D)
20.三相同步發電機的短路比 SCR(short-circuit ratio)與同步電抗在額定為基底值的標么值 XS- pu 關係,下 列何者正確?(A) (B) (C) (D)
21.某三相、4 極、線電壓 220V(有效值)、60Hz 的同步發電機,每相同步電抗為 j2 Ω ,忽略電樞電 阻,若發電機的相電流為 50A(有效值)且功率因數為 1.0,則發電機的感應電勢相電壓為多少伏特(有 效值)? (A) 241.7 (B) 220 (C) 161.7 (D) 127
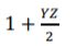
30.一中程輸電線路等效電路如【圖 30】所示,其標稱π 模型參數中,B 參數為何?(A)(B)Z(C)(D)
32.一電力系統由 3 個匯流排所組成,其阻抗矩陣為 ,假設故障前各匯流排 電壓均為 ,當匯流排 1 發生三相接地故障,則故障時匯流排 2 的電壓是多少 p.u? (A) 0.4 (B) 0.5 (C) 0.6 (D) 0.7
35.在一三相電力系統中某一故障點零序、正序、負序戴維寧等效電路阻抗分別為 j0.1875、j0.2275、j0.2275, 當該點發生三相短路故障,其故障電流正序分量 是多少?(假設故障前電壓為 ) (A) -j4.396 (B) -j1.556 (C) -j2.2 (D) -j3.03
39.電力系統之標稱π(nominal π)形電路,是使用於下列哪一種輸電線路的模型? (A)短距離輸電線路 (B)中等長度輸電線路 (C)長距離輸電線路 (D)超級長程輸電線路
41.下列哪一種三相變壓器之繞組連接方式,可做為新公寓或新大樓初期住戶不多時使用,在未來住戶 增加後可以再增加一個相同規格的單相電力變壓器,以提升三相變壓器之輸出功率使用? (A) Y-△連接 (B) Y-Y 連接 (C) V-V 連接 (D) △-△連接