所屬科目:北水◆電機機械及電力系統
1.兩台泵浦以串聯方式連接,揚程與水量變化情形為下列何者? (A)揚程增加,水量不變 (B)揚程不變,水量增加 (C)揚程和水量都不變 (D)揚程和水量都增加
2.在流體流動過程中常因速度變化產生局部之低壓區,造成孔蝕(cavitation)現象,下列何種改善無法降 低發生機會? (A)降低抽水機高度 (B)增加吸入管的管徑 (C)增加轉速 (D)流量調小
3.某一水塔長、寬、高各為 5m、4m、6m,若蓄水 5.5m 高,請問水面與水底的壓力差為多少 kPa? (A) 53.9 (B) 79.75 (C) 110 (D) 808.5
4.下列何種設備是利用水利能(Hydraulic energy)轉換為機械能(Mechanical energy)之機械? (A)水輪機 (B)泵浦 (C)壓縮機 (D)起重機
5.有關流體在管中流動造成的壓降,下列敘述何者錯誤? (A)壓降大小與長度成正比 (B)壓降大小與管徑成反比 (C)壓降大小與速度成正比 (D)壓降大小與流體密度成正比
6.管路紊流可分為四區,由管壁至管中心分佈是以下列何者順序排列? A.轉換層(transition layer) B.紊流層(turbulent layer) C.黏滯次層(viscous sublayer) D.緩衝層(buffer layer) (A) ABCD (B) CABD (C) DCAB (D) CDAB
7.有關水輪機的敘述,下列何者錯誤? (A)反擊式水輪機,利用流體由上而下衝擊帶動水輪機扇葉運轉而獲得能量 (B)衝擊式水輪機利用水流的動能,藉由噴嘴,把高壓水流變為高速的自由射流,將水流能量傳遞給轉輪 (C)軸流式水輪機組水流由軸向流入轉輪,而又軸向流出,適用於高水頭運轉 (D)混流式水輪機是介於衝擊式和軸流式之間的一種中高水頭水力輪機
8.直徑 3m 之儲水筒由底部直徑 10cm 的管路排放,已知底部管路的流速 3m/sec,請問儲水筒下降速度 (cm/sec)? (A) 0.1 (B) 0.2 (C) 0.66 (D) 0.33
9.自來水以 0.1m/sec 的速度通過直徑 0.2m 的水平塑膠管,若依相對粗糙度從穆迪表(Moody Chart)中查 出摩擦因子 f=0.026,則該管每公尺的壓降值為多少 Pa? (A) 0.65 (B) 0.75 (C) 0.86 (D) 0.95
10.一台泵浦從水池抽水輸送至高架水塔,已知流量 Q=0.028m3 /sec,泵浦的總揚程為 130m,若泵浦的效率 η=72%,則泵浦運轉功率約為多少 kW? (A) 39.6 (B) 49.6 (C) 59.6 (D) 69.6
11.一台風扇可高低二段轉速調整,已知高速時轉速為 1800rpm,風速為 4.5m/sec,當調到低速時測得風 速為 2.5m/sec,則低速時轉速為多少 rpm? (A) 555 (B) 1000 (C) 1200 (D) 1340
12.有一寬 2m,高 3m 之垂直矩形水門,水門頂距離水面 2m,請問水壓作用於此門的壓力中心位置距 離水面大約多少 m? (A) 3.5 (B) 3.7 (C) 4.5 (D) 5.0
13.下列何種機器不屬於流體機械? (A)鼓風機(blower) (B)水輪機(water turbine) (C)齒輪減速機(gear reducer) (D)空壓機(air compressor)
14.於空氣機械的計算中常用標準空氣,請問下列何者不是標準空氣的條件? (A)空氣溫度為 20°C (B)空氣相對濕度為 75% (C)絕對壓力為 760 mm Hg (D) 1 m3 的重量為 1.20 kg
15.下列何者不屬於流動流體的總機械能? (A)動能 (B)位能 (C)熱能 (D)流功
16.節流閥(valve)在油路中是用來控制液壓油的下列何種性能? (A)方向 (B)流量 (C)壓力 (D)溫度
17.下列何種液壓件能轉變油壓力成有效之輸出功? (A)蓄壓器 (B)油壓泵 (C)油壓控制閥 (D)油壓馬達
18.管路的半徑為 10 cm,管內流體速度為 0.5 m/s,則流率為多少 m 3 /s? (A) 0.007 (B) 0.011 (C) 0.016 (D) 0.020
19.流體在管路內流動,請問於管路上哪種元件的損失被稱為主要損失? (A)閥 (B)直管 (C) T 接頭 (D)彎頭
20.某效率為 65%的水輪機能產生 200 kW 的功率,請問通過該輪機的水需多少 kW? (A) 288 (B) 308 (C) 328 (D) 400
21.有關泵(pump)與渦輪機(turbine)的原理,下列敘述何者錯誤? (A)泵是可對流體提供能量的流體機械 (B)流經泵的流體壓力是增加的 (C)渦輪機為能量產生設備 (D)渦輪機出口處的能量高於入口值
22.有關流體機械系統常用到的落差(head)理論,下列敘述何者錯誤? (A)單位質量流體的流動經過一定距離的壓力損失 (B)因為摩擦所引起的 (C)落差的因次(dimension)為牛頓 (D)落差是能量
23.有關泵的揚程,下列敘述何者錯誤? (A)揚程=泵進水總落差(head)-泵出水總落差 (B)揚程=把單位重量的流體之機械能增高的量 (C)淨揚程正比於實際輸送到流體的有效功,傳統上稱為水馬力 (D)供給泵的機械能必須大於輸出水馬力
24.使水流經過一個圓孔,流速為 12m/s,理論落差(head)值需多少? (A) 6.05m (B) 7.34m (C) 9.6m (D) 11.2m
25.有一水輪機(water turbine)產生 295N-m/kg 的功率,請問通過該輪機的揚程(head)值為何? (提示: ) (A) 25m (B) 30m (C) 40m (D) 45m
26.若應力不變,材料經過長時間受力,隨時間增加而應變也增加,稱為下列何者現象? (A)鬆弛 (B)頸縮 (C)降伏 (D)潛變
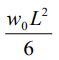
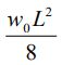
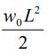
27.如【圖 27】所示之簡支樑,樑上有均佈負荷 W,樑在支點間之長度為 l,求其樑內最大彎矩 M 為多 少?
(A) wl2 /2 (B) wl2 /4 (C) wl2 /6 (D) wl2 /8
28.如【圖 28】所示,三方塊重 A =200N,B =300N,C =400N,A 受牆面阻擋限制其向左運動,已知所 有接觸面之靜摩擦係數 μ=0.3,試求水平力 P 要多大才能拉動 B 向左移動?
(A) 100N (B) 180N (C) 200N (D) 210N
29.如【圖 29】所示,A 支點支承反力為何?
(A) 12kN (B) 24kN (C) 36kN (D) 48kN
30.如【圖 30】所示,若物體 A 重 100N,物體與斜面靜摩擦係數 μ=0.5,忽略不計繩與輪子之摩擦力, 當 F 力為多少時可將物體 A 移動上滑?
(A) 60N (B) 80N (C) 100N (D) 120N
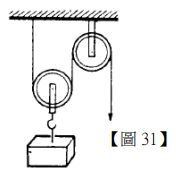
31.如【圖 31】的滑輪組,每個重 8 公斤重,今欲提升 50 公斤重的重物,請問不計摩擦時,須施力多少 公斤重的力?
(A) 25 (B) 27 (C) 29 (D) 33
32.請計算【圖 32】中簡支樑在 A 點之力量大小?
(A) 6kN (B) 7kN (C) 8kN (D) 9kN
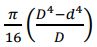
33.如【圖 33】之圓截面形狀,其對中心截面之慣性矩為何?(D 為外徑;d 為內徑)
(A) (B) (C) (D)
34.一鋼製長棒長度 10m,截面積為 5cm2,對伸長量之要求 δ 不得大於 0.2cm,內應力不得大於 1000kg/cm2 ,則該鋼棒所能承受最大負荷為多少?(設 E=2x106 kg/cm2) (A) 2000kg (B) 3000kg (C) 4000kg (D) 5000kg
35.請用節點法計算【圖 35】中 AC 桿構件之內力為多少?
(A)壓力 1099kg (B)拉力 1199kg (C)拉力 1299kg (D)壓力 1399kg
36.如【圖 36】所示有一長 1000mm 之搖桿,與直徑 40mm 之軸以鍵固定,鍵之受剪面積為 600mm 2, 鍵之容許剪應力為 60MPa,搖桿末端所施加之最大 P 值為多少? 選項:
(A) 560N (B) 660N (C) 720N (D) 860N
37.如【圖 37】所示,3 塊板材以 3 個相同鉚釘接合,若鉚釘之直徑為 20mm,且鉚釘最大可承受之剪 應力為 20MPa,在鉚釘不被破壞狀況下,則所能承受最大施力 P 為多少?
(A) 23.3kN (B) 37.7kN (C) 46.6kN (D) 56.8kN
38.一長度 5m 之懸臂樑,末端承受一集中負荷 P=30kN,已知該樑其 E=200kN/mm2,I=84.4x106mm 4, 請計算末端最大變形量為多少 mm? (A) 54 (B) 64 (C) 74 (D) 84
39.有兩力量大小分別為 600 N 與 800 N,作用於同一作用點,且兩力之方向夾角為 90°,則其合力大小 為: (A) 600N (B) 800N (C) 1000N (D) 1400N
40.下列何者屬於工程力學分析時,物體受負載後之外效應(external effect)? (A)應力 (B)加速度 (C)變形 (D)強度
41.如【圖 41】所示之結構與負載,CD 桿件之受力為何?
(A) 4kN (B) 4 √2 kN (C) 8kN (D) 8 √2 kN
42.如【圖 42】所示之平面桁架結構,下列何者不是零力桿件(zero-force member)?
(A) CD (B) BE (C) AB (D) DE
43.有關一半徑為 r 的圓面積,其慣性矩之敘述,下列何者正確? (A)對其平面上任一直徑軸的慣性矩為 (B)對其通過圓心且垂直平面的軸,其極慣性矩為 (C)對原點在圓心之直角座標軸,其慣性積(product of inertia, )為零 (D)此面積之最大慣性矩發生於通過圓心之座標軸
44.有一質點於 x 軸做直線運動,其速度 vx 隨時間之變化如【圖 44】所示,假設質點從原點出發,則此 質點於 t=12 s 時之位置座標為:
(A) 280m (B) 320m (C) 325m (D) 600m
45.如【圖 45】之滑輪機構,下列何者為 A、B 兩物體間之正確速度關係式?(負號表示方向相反)
46.有質量相同、外半徑相同之實心球、中空球、實心圓柱、中空圓管,在同一斜面滾下(純滾動、不 打滑),則哪一個會最先滾到斜面下方? (A)實心球 (B)中空球 (C)實心圓柱 (D)中空圓管
47.如【圖 47】之螺栓接頭承受拉力負載,則下列何者不是可能的破壞模式?
(A)結構板片孔材料承壓(bearing)破壞 (B)螺栓材料承壓破壞 (C)螺栓材料剪切(shearing)破壞 (D)螺栓結構挫曲(buckling)破壞
48.如【圖 48】所示之懸臂樑,樑中截面之最大彎矩為:
(A) (B) (C)(D)
49.如【圖 49】所示之樑截面,承受 x 軸向之彎矩 =100 kN-m,則此樑截面上之最大彎曲應力為:
(A) 95.0MPa (B) 123.5MPa (C) 468.3MPa (D) 608.8MPa
50.將一條直的彈簧鋼線(鋼絲直徑=1mm、楊氏係數=200GPa),施加彎矩使其變形後成為曲率半徑為 1 m 之圓弧,則鋼線內之最大彎曲應力為: (A) 50MPa (B) 100MPa (C) 200MPa (D) 400MPa