所屬科目:誤差理論與實務
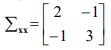
四、已 知 某 一 隨 機 向 量 , 其 方 差 - 協 方 差 矩 陣 ( variance-covariance matrix ) 為 , 並 已 知 函 式 關 係 。請分別計算變數 y 與 z 之標準誤差以及其 相關係數。(25 分)