所屬科目:技檢◆測量-工程測量-乙級
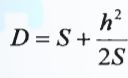
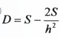
9. 設一斜距離為 S,其兩端之高程差為 h,則水平距離 D 可依下列何者近似公式計算?(A) (B) (C) (D) 。
43. 一導線各點之折角經平差後之值如下表,今已知點 1 至點 2 之方位角為 215°16 '47",則點 2 至點 3 之方位角為(A)243°52 '10"(B)6°41 '24"(C)109°11 '18"(D)353°03 '28"。
69. 方格法水準測量之成果如下圖所示,各格點之高程標示圖上,單位為公尺,則高程 12m 之等高線將 通過哪些區域?(A)A(B)B(C)C(D)D。
79. 在地圖上量得 方向角為 S2 °W,另已知此處之製圖角為 4°W,磁偏角為 3°E,則下列敘述哪些正 確?(A) 之真方向角為 S2°E(B) 之磁方位角為 185°(C) 之坐標方位角為 182°(D) 之磁方向角為 S5°E。