所屬科目:教甄◆數學
6. 下列有兩個分數問題,有關教材發展的敘述何者正確?
問題甲:一盒巧克力有 24 個,盒有多少個巧克力?
問題乙:一盒巧克力有 24 個,一盒巧克力的有多少個巧克力? (A) 問題甲的概念是「認識單位內容物為多個個物」,問題乙的概念是「分數 乘以整數」。 (B) 學生要學會分數乘法才能解決問題甲和乙。 (C) 問題甲和乙的分數數字類型不同,問題甲是真分數,問題乙是單位分數, 所以問題乙比問題甲簡單。 (D) 以上皆非。
7. 張老師出了一個時間問題:「小偉去看一場電影,從下午1時20分開始放映, 下午 3 時結束,請問這部電影的片長有多久時間?」下列是四個小朋友的解 題過程,請問何者不合理? (A) 小威:1 時 20 分+40 分=2 時 2 時+1 時=3 時 答:1 小時 40 分鐘 (B) 小中:下午 1 時 20 分=13 時 20 分 下午 3 時=15 時 15 時-13 時 20 分=1 時 40 分 答:1 小時 40 分鐘 (C) 小偉: 答:1 小時 40 分鐘(D) 小宣: 答:1 小時 40 分鐘
12. 張老師出了一個題目:「一根 公尺的鐵條重公斤,同樣材質和粗細的鐵 條一公尺重多少公斤?」下列有四個學生的解法,請問哪些解題策略是合理 的?(A) 甲生、乙生、丙生、丁生 (B) 甲生、乙生、丁生 (C) 乙生、丁生 (D) 丁生 4
13. 長度 5 公尺的樓梯靠在牆上,梯腳距離牆壁 4 公尺。有一天,小實養的貓沿 著這樓梯想爬到屋頂上去,爬梯途中,樓梯突然下滑了 1 公尺(如圖),請問 梯腳大約右滑多少公尺呢? (A) 0.6 (B) 0.8 (C) 1 (D) 1.2
15. 一艘輪船從河的下游甲港逆流向上到達上游的乙港,花費 2 小時。調頭順流 回程時花費 1.7 小時。已知這條輪船的順流速度比逆流速度每小時快 2.5 公 里,從甲港到乙港間的距離為? (A) 公里 (B) 公里 (C) 14 公里 (D)28 公里
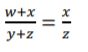
19. 根據右圖,,下列哪個比例式不對? (A) (B) (C) (D)
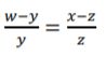
20. 右圖中, 為 ∠YZX的角平分線。已知, =12,求 長度。 (A) 14 (B) 9 (C) 8 (D) 6
21. 求三角形 ABC 的面積(A)13.5(B)22.5 (C) 37.5 (D)42.5
24. 台灣計畫在 A, B , C ,D, E 五個城市設立快篩檢測站。初期準備在五個城市 共設立 15 個檢測站,每個城市至少有兩個檢測站;為使各個檢測站之間能 夠迅速調配快篩試劑,要求在不同城市中,任意兩個檢測站之間必須設置一 條快遞路線;同城市的檢測站之間則不需要設置快遞路線。假設初期規劃 15 個檢測站的分布如下表,請問共需要幾條快遞路線?(A) 192 (B) 105 (C) 90 (D) 88
26. 已知,下列敘述何者正確? (A) x為正整數 (B) y為負整數 (C) x為負數 (D) y為正數
28. 人類生活中使用的數字通常是以十進位表示, 例如:,若將十進位中的68利用二進位表示成 abcdefg,則這七位數中會有幾個為 0? (A) 6 個 (B) 5 個 (C) 4 個 (D) 3 個
29. 下列敘述何者正確? (A) 父子兩人的年齡相差 20 歲,則兩人的年齡會成正比關係。 (B) 若x、y成正比時,x的值越大,則y的值也會隨之越大。 (C) 當距離固定時,行駛的速率和所使用的時間會成反比。 (D) 若x、y成反比時,當ݔ的值為 0 時,y的值可能為 0。
30. 將一桶 公升的果汁分裝到每瓶 公升的寶特瓶中,盡量分裝完,則分裝完 後還會剩下幾公升的果汁? (A) 公升 (B) 公升 (C)公升 (D) 公升
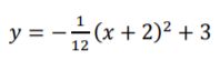
32. 娜娜在練習足球射門,她發現每一次射門時,球的軌跡都是拋物線,如圖(三) 所示。若某次練習,娜娜站在球門前 8 公尺處踢球,球的軌跡為,且球門高度為 2.24 公尺,試問此次練習娜娜是否成 功的把球踢進球門?(假設娜娜站在x軸上,且x軸在地面上並垂直球門,y軸 垂直地面且和球門框上方交於一點。) (A) 球飛過球門上方 (B) 球落在球門前 (C) 球成功踢進球門 (D) 無法判斷
33. 如圖(四),四邊形 ABCD 為矩形,O 點在上,ܱ= 6,= 3。以 O 點 為圓心,ܱ為半徑畫弧剛好通過 D 點,試比較圖中兩鋪色區域甲面積和乙 面積的大小關係。 (A) 甲<乙 (B) 甲>乙 (C) 甲=乙 (D) 無法判斷
34. 若為x的一元二次方程式,且x=1是此 方程式的解,下列關於݇的敘述何者正確? (A)k>0 (B)k=0 (C) ݇k<0 (D) ݇k值不只一個
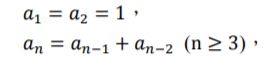
35. 小費定義了一個數列: 若小費將此數列前 50 項列出來,則共有幾項是奇數? (A) 25 (B) 32 (C) 34 (D) 35
36. 在和中,已知,則加入下列哪一個條件無 法確定和全等? (A) (B) ∠A= ∠E (C) (D) ∠C=∠F
39. 圖(十)為正立方體,求∠AHF? (A) 60° (B) 45° (C) 36° (D) 30°
40. 已知,若ܽa<xy<b 則ܽa+2b=? (A)-14 (B) 77 (C) 86 (D) 127