所屬科目:研究所、轉學考(插大)-有機化學
5. Determine the empirical formula for a compound that contains C, H and O. It contains 51.59% C and 35.30% O by mass. (C: 12.0 g/mol; H: 1.00 g/mol; O: 16.0 g/mol) (A) C2H6O(B) CHO(C) (D) CH4O3
13. Which of the following Lewis structures is incorrect? (A) (B) (C) (D)
28. Which of the following is a Lewis base? (A)AlF3(B) H2O(C) SiF4(D)
29. Which are acid-base reactions according to Lewis theory but not according to the Brønsted-Lowry theory?(A) I, II (B) III, IV (C) I, III, IV (D) I, II, III, IV
30. Which acid is the most acidic?(A)I (B) II (C) III (D) IV
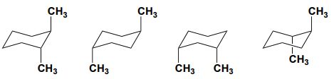
32. Which conformation of pentane is most stable?
39. What is the major product of the following reaction? (A) (B) (C) (D)
53. What is the major organic product of the following reaction? (A) (B) (C) (D) Both A and B
56. What is the correct IUPAC name of the compound below? (A) 3-(2-bromopropyl)-6,6-dimethylheptan-2-ol (B) 5-bromo-3-(3,3-dimethylbutyl)hexan-2-ol (C) 5-(2-bromopropyl)-2,2-dimethylheptan-6-ol (D) 7-bromo-5-(1-hydroxyethyl)-2,2-dimethyloctane
57. The reaction of CH3CH2MgBr with CH3COCHCH3 gives ________. (A) an achiral product (B) a mixture of diastereomers (C) the racemate of a chiral product (D) a single enantiomer
63. What product will result from the reaction shown? (A) acetal(B) hydrazine(C) ester (D) ylide
80. Which of the pairs shown below are tautomers? (A) (B) (C) (D)