所屬科目:研究所、轉學考(插大)◆工程數學
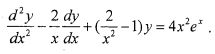
一、(10%) Please solve
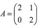
二、(10%) Given , plase find the fumsdamenal matis with Cayley-Hamilton theorem/method of undetermined coefficients.
三、 (10%) Suppose g(s) is the Laplace transform of Ar). In other words, Suppose g(s) is given by, please find f(4.5).
四、(10%) Suppose fc(ω) is cosine transform of (x) and is given by , please find the inverse transformf(x) of fc(ω). Hint: you may use the following definite integral:
(ㅡ)(8%) If the period of a set of periodic functions is 2π, what is the orthonormal basis of the vector space that these periodic functions belong to? You have to show the vectors in the basis are orthonormal to get full credit.
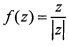
八(10%) Given, find u and y such that f(a)=u(x,y)+iv(x,y); determine where fis differentiable and where fis not.
九、(5%) Expand in Laurent series with center z = 3i in the neighborhood. Write down at least the first three terms. Determine the precise region of convergence.
(=) (5%) Evaluate where C:|2|=5,counter-clockwise. C COS Z