阿摩線上測驗
登入
首頁
>
研究所、轉學考(插大)◆工程數學
>
109年 - 109 台灣聯合大學系統_碩士班招生考試_電機類:工程數學A#105870
> 申論題
題組內容
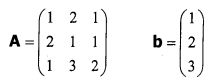
七、(10%) Let a linear equation system Ax = b with its coefficient matrix:
(二) (4%) Apply the result in (ㅡ) to solve the solution of Ax = b.
相關申論題
一、(10%) Please solve
#451335
二、(10%) Given , plase find the fumsdamenal matis with Cayley-Hamilton theorem/method of undetermined coefficients.
#451336
三、 (10%) Suppose g(s) is the Laplace transform of Ar). In other words, Suppose g(s) is given by, please find f(4.5).
#451337
四、(10%) Suppose fc(ω) is cosine transform of (x) and is given by , please find the inverse transformf(x) of fc(ω). Hint: you may use the following definite integral:
#451338
(一) (5%) Show that the input n signals are linearly independent.
#451339
(二) (7%) Please verify that if this mixer performs a linear transformation in this system.
#451340
(ㅡ)(8%) If the period of a set of periodic functions is 2π, what is the orthonormal basis of the vector space that these periodic functions belong to? You have to show the vectors in the basis are orthonormal to get full credit.
#451341
(二) (5%) Find a vector g(x) in a subspace spanned by only{1, cos(x), cos(2x), sin(x), sin(2x)} so that g(x) has the shortest distance to the function f(x) = x in the interval [-π,π]. Note: In this problem, you may need:
#451342
(ㅡ) (6%) Please find a lower triangular matrix L and an upper triangular matrix U so that matrix A can be represented as a product of LU.
#451343
八(10%) Given, find u and y such that f(a)=u(x,y)+iv(x,y); determine where fis differentiable and where fis not.
#451345
相關試卷
110年 - 110 國立中央大學_碩士班招生考試_機械工程學系、機械工程學系(光機電工程)、能源工程研究所_(共同):工程數學#125285
110年 · #125285
110年 - 110 國立臺灣大學_碩士班招生考試_部分系所:工程數學(A)#125255
110年 · #125255
110年 - 110 台灣聯合大學系統_碩士班招生考試_電機科:工程數學(C)#125211
110年 · #125211
110年 - 110 台灣聯合大學_碩士班招生_電機類:工程數學C#124898
110年 · #124898
110年 - 台聯大_工程數學B#113346
110年 · #113346
110年 - 110 國立臺灣科技大學_碩士班招生試題_材料科學與工程系(乙組):工程數學#113288
110年 · #113288
110年 - 110 國立台北科技大學碩士班招生考試_自動化科技研究所:工程數學#111318
110年 · #111318
110年 - 110 國立臺灣大學_碩士班招生考試_部分系所:工程數學(D)(含線性代數、機率與統計)#111303
110年 · #111303
110年 - 110 台灣聯合大學系統碩士班招生考試_電機類:工程數學A#110408
110年 · #110408
110年 - 110 國立臺北科技大學_碩士班招生考試_機械工程系機電整合碩士班:工程數學#107430
110年 · #107430