所屬科目:工程數學(應用數學, 線性代數、微分方程、複變函數與機率)
1 對稱矩陣A=,其對角化矩陣(diagonal matrix) ,其中P是正交矩陣,求D=? (A) (B) (C) (D)
2 矩陣A和B,令det A = 6和det B= 2,求 =? (A)12 (B)6 (C)3 (D)0
3 設a為常數向量(constant vector), ,下列何者錯誤? (A)∇ ∙ r= 3 (B)∇ ∙ (a ×r ) = 0 (C)∇ × r= 0 (D)∇ × (a×r ) =a
4 求 =? (A)10 (B)15 (C)20 (D)25
5 矩陣 ,求 =? (A) (B) (C) (D)
6 下列矩陣何者的秩(rank)等於2。 (A) (B) (C) (D)
7 下列那一個是適合的積分因子 ( integrating factor ) , 乘上它以後 , 將使微分方程式 (x+y)dx+xln(x)dy=0變成正合(exact)? (A)x (B)3 (C) (D)
8 微分方程式,其中 y(0) = 2, y'(0) = 6 。以拉普拉斯轉換(Laplace transform)求解後得到 ,則下列何者錯誤? (A)a+b+c+d=15 (B)a+b+c−d=7 (C)a−b−c+d=−1 (D)−a+b−c+d=−3
9 設為函數f(x)=x3,之傅立葉級數(Fourier series),其中 為常數,下列何者正確? (A) (B) (C) (D)
10 設 為微分方程的通解(general solution),其中a,b ,c,c1 ,c2 ,c3 為常數,下列何者正確? (A)a= −1 (B)b= −1 (C)c= −1 (D)a+b+c= −1
11 求積分方程 的解。 (A)1 − sin t (B)1 + sin t (C)cos − sin t (D)cos + sin t
12 令連續隨機函數 X 具有機率密度函數 ,求其變異數(variance)σ2 。(其中 k 為常數) (A) (B) (C) (D)
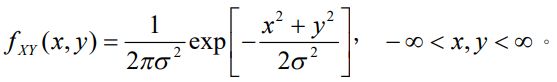
13 令連續二維隨機變數 X 和 Y 具有機率密度函數 ,求其機率P(x>0.25Y>0.5)。(其中 k 為常數)(A) (B) (C) (D)
14 求複變函數積分 ,其中積分路徑C為逆時鐘方向繞圓周|z| = 3。 (A) (B) (C) (D)
15 求複變函數積分 ,其中積分路徑C為逆時鐘方向繞橢圓周16x2+y2= 4。 (A) (B) (C) (D)
16 複變函數 =? (A)5i (B)4i (C)3i (D)2i
17 z 為一複數,若 Γ 是平面中一個包含原點 z=0之封閉路徑, =? (A)0 (B) (C) (D)
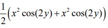
18 曲線 C 為平面上一個正向簡單封閉路徑,則 =? (A)4xsin(2y) (B)2xsin(2y) (C)0 (D)
19 令一曲線 C 為 x = t 2 , y = -t , z = t 2 , 0 ≤ t ≤ 1 ,則=? (A) (B) (C) (D)
20 下表所示為 x 及 y 機率質量函數(probability mass function, PMF),則 X 與 Y 之共變異數 COV(X,Y )=? (A) (B) (C)-1 (D)1
一、假設 X 和 Y 為兩個獨立(independent)的隨機變數(random variables) , 且 X 和 Y 之平均值(mean)均為零,變異數(variance)為σ2的高斯分布(Gaussian distribution) 。隨機變數 X 和 Y 的聯合機率密度函數(joint pdf)為:定義兩個新的隨機變數R及如下:假設,使得 。請證明隨機變數R的機率密度函數為。 (6分)
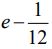
二、(一)假設 z 為一複數,求所有的 z 使得 cos z= 。(4分)
(二)假設 z 為一複數,計算,其中積分路徑 C 為圓| z-2|= 4 之順時針(clockwise)方向圓周(circle)。(4分)
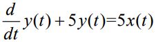
三、(一) 已知一RC電路系統可由微分方程式 ( differential equation )表示,其中 x(t)為輸入,且 y(t)為輸出。假設,且初始條件(initial condition),求 y(t)。 (8分)
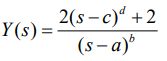
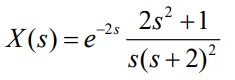
(二)已知一訊號 x(t)的單邊拉普拉斯轉換(unilateral Laplace transform)為: 請求該訊號 x(t)的初值(initial value)及終值(final value)。 (8分)
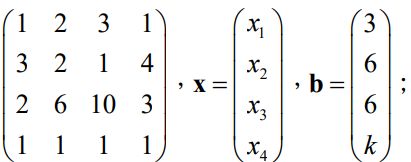
四、(一)(a)求 k 使得 Ax = b,其中 A =
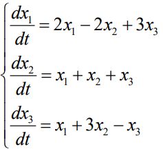
(二)請求以下線性系統的解 ,其中 x1(0)=1,x2(0)=0及x3(0)=1/2。(10分)