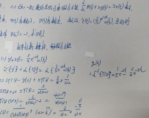
三、(一) 已知一RC電路系統可由微分方程式 ( differential equation )
表示,其中 x(t)為輸入,且 y(t)為輸出。假設
,且初始條件(initial condition)
,求 y(t)。 (8分)
詳解 (共 1 筆)
詳解

三、(一) 已知一RC電路系統可由微分方程式 ( differential equation )
表示,其中 x(t)為輸入,且 y(t)為輸出。假設
,且初始條件(initial condition)
,求 y(t)。 (8分)
