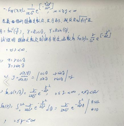
一、假設 X 和 Y 為兩個獨立(independent)的隨機變數(random variables) , 且 X 和 Y 之平均值(mean)均為零,變異數(variance)為σ2的高斯分布(Gaussian distribution) 。隨機變數 X 和 Y 的聯合機率密度函數(joint pdf)為:
定義兩個新的隨機變數R及
如下:假設
,使得
。請證明隨機變數R的機率密度函數為
。 (6分)
詳解 (共 2 筆)
詳解

詳解
Sdaddasdas