一、某一工程設計樁長 40 m,樁徑 1.5 m 之場鑄鑽掘抗拉拔樁,工址經調查 後得其地層剖面如下圖所示,地下水位位於地表面下 4 m。經詳細的實 驗室試驗後,得知該工址土層 OCR 值在深度(Z)15 m 內之變化可以
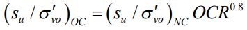
表示,當 Z≥15 m 時,土壤為正常壓密狀態;黏土層之不 排水剪力強度的正規化公式為
,其中
。依規範要求抗拉拔基樁之安全係數FS= 6,試求此鑽 掘樁之極限抗拉拔力及容許抗拉拔力各為若干?另若地下水位下降至 地表面下 10 m,會對此基樁之抗拉拔力有何影響?(25 分)
[ 提示:砂土層β=K tan δ,採用
、δ/ φ'=0.9 ;黏土層
,其中
大氣壓力=100 kPa。計 算樁身阻抗時 Sand I 層以一層、Clay 層等分四層、Sand II 層等 分二層進行計算,各層相關參數取該層深度中央點之數值進 行計算,混凝土單位重為24.5 kN/m3。]
