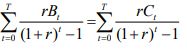
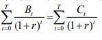
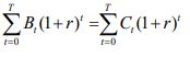
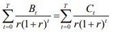
18 已知一鐵路運輸需求函數為
,其中,Qr 為每日鐵路旅次量Pr, Pb 分別為鐵路及公路客運之票價,α, β, θ 為參數,e 為指數函數,若 α=–2, β=0.02,公路客運票價 Pb=80 元,而鐵路票價由 Pr=100 元增為 120 元(上漲 20%),試求此鐵路運輸需求之價格彈性、交叉彈性及鐵路旅次量變化,分別為何?(A)價格彈性 = − 2,交叉彈性 = 0.02,旅次量減少 40%(B)價格彈性 = − 1.2,交叉彈性 = 0.02,旅次量減少 24%(C)價格彈性 = − 2,交叉彈性 = 1.6,旅次量減少 30.6%(D)價格彈性 = − 2,交叉彈性 = 1.6,旅次量減少 69.4%