所屬科目:教甄◆理化專業
1. 在一大氣壓下,某一 CaCl2 溶於水中形成之理想溶液的沸點為 100.156 ℃ ,已知在 100 ℃ 時,純水的蒸氣壓為 760 mmHg,試問此水溶液在 100 ℃ 時的蒸氣壓約為多少 mmHg? (水的 Kb = 0.52 °C/m) (A) 700 (B) 715 (C) 722 (D) 756
2. 25℃下,磷酸的三個解離常數依次為 7.1×10-3M,6.3×10-8M 及 4.4×10-13M, 此磷酸鹽水溶液為 pH=9.0 時,下列 順序何者正確?(A)(B)(C)(D)
3. 右列反應關於胺的反應速率何者選項正確?: (A) NF3 最快 (B) NH2-CH3 最慢 (C) NH2-CH3 最快 (D) NH3 最慢
6. Xe 可以與電負度較高的元素如氧或氟形成化合物,下列敘述哪些錯誤? (A) XeO4 的分子形狀為正四面體之結構 (B) XeO3 的分子形狀為平面三角型之結構 (C) XeF4 的分子形狀為平面四邊形之結構 (D) XeO3F2 的分子形狀為雙三角錐之結構 (E) XeOF2 的分子形狀為 T 字形之結構
9. 請問萘中哪兩個碳之間碳碳鍵的鍵長最短? (A) C(1)-C(2) (B) C(2)-C(3) (C) C(8a)-C(1) (D) C(4a)-C(8a) (E) 萘中的碳碳鍵皆等長
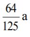
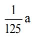
10. 常溫下反應 I2(aq) I2(CCl4 ) 的 K = 50 ,今有含碘 a 克的水溶液 100mL,經由每次 10mLCCl4萃取三次後,水中含 碘量為多少克? (A) (B)(C)(D)。
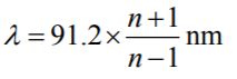
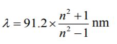
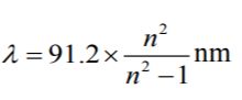
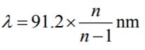
11. 已知要將氫原子基態的電子游離時,可用的最長波長的光為 91.2nm 的紫外光,那麼從各受激態至基態的來曼系光 譜,其波長可用下列何式表示? (A) (B) (C) (D)。
12. 將9.94克Zn(OH)2固體放入1.0升的水中,欲將Zn(OH)2固體全部溶解,最少需要加入約若干莫耳的NaOH固體? (Na=23.0,Zn=65.4) 已知 Zn(OH)2Zn2++2OH- Ksp=4.1×10-17 、Zn2++4OH- Zn(OH)4 2- Kf=3.0×1015 (A)0.67 (B)1.33 (C)0.90 (D)1.10。
19. 試問下列化合物中,哪些是三牙的配位基? (A) (B) (C) Diethylenetriamine (D) Triethylenetetramine (E) Terpyridine
20. 請問下列化合物哪些具有芳香性? (A) (B) (C) (D) (E)
25. 在丙烷脫氫的反應中,假設系統處於平衡,則下列熱力學變數的符號,哪些可能正確? (注:以下選項中的溫度,指的是在相同的分壓條件下,相對於初始溫度)(A)(B)(C)(D)(E)
26. 已知某定溫下,AgCl 的 Ksp 為 1×10-10,而[Ag(NH3)2] + (aq) Ag+ (aq)+2NH3(aq)的解離平衡常數 Kc=1×10-8,若在氨 水中加入足量的 AgCl 固體,當達到平衡時,下列哪些敘述正確? (A) AgCl 固體溶於氨水中的全反應式為 AgCl(s)+2NH3(aq)2[Ag(NH3)2] +(aq) (B) AgCl 固體溶於氨水中全反應式的平衡常數為 0.01 (C) AgCl 固體溶於 1M 氨水中的溶解度為 0.083M (D) AgCl 固體在 0.1MKCl 水溶液中的溶解度為 1×10-2M (E)欲完全溶解 2.87 克 AgCl 固體,至少需 6 M 氨水 40 毫升。
27. 下列三種弱酸在室溫時的游離常數如下:HA (Ka=1.5✖10-4 ) ,HB (Ka=2.5✖10-6 ) ,HC (Ka=3.0✖10-8 ) 。下列緩 衝溶液的配製比例何者正確? (A)HA+NaOH 莫耳數 3:5 比例混合,可製得 pH=4 之緩衝溶液 (B)HA+HB 莫耳數 5:3 比例混合,可製得 pH=5 之緩衝溶液 (C)HB+NaB 莫耳數 2:5 比例混合,可製得 pH=6 之緩衝溶液 (D)HCl+NaC 莫耳數 1:4 比例混合,可製得 pH=8 之緩衝溶液 (E)NaC+NaOH 莫耳數 10:3 比例混合,可製得 pH=9 之緩衝溶液。
28. 在有機分子中,若某個碳原子連接著四個不同的原子或原子團,我們便稱這種 碳原子為「掌性碳原子」(或「手性碳原子」),凡是具有一個「掌性碳原子」的 有機分子一定具有光學活性。例如附圖所示的有機分子有光學活性。 若該有機分子分別發生下列反應,得到的產物不具有光學活性的是: (A)與甲酸發生酯化反應 (B)與乙醯氯發生酯化反應 (C)與氫氧化鈉水溶液共熱 (D)與多侖試劑反應 (E)與酸性過錳酸鉀溶液反應。
5. 請由下列數據估算 B2Cl4 (g) 中 B-B 單鍵的鍵能為多少?(2 分)