所屬科目:技檢◆車床-車床(項)-丙級
1. 螺紋的公稱直徑是指(A)外徑(B)節徑(C)底徑(D)節距。
2. 依勞動基準法規定,下列何者屬不定期契約?(A)臨時性或短期性的工作(B)有繼續性的工作(C)特定性的工作(D)季節性的工作。
3. 英制錐度"T.P.I."表示方式為每______長大徑、小徑之差。(A)25.4 公分(B)25.4mm(C)15.4 公分(D)15.4mm
4. 車床作切斷工作時,最不易產生吱吱叫者為(A)刀具鈍化(B)刀口面太大(C)工件、刀具鬆動(D)主軸轉數太慢。
5. 工件全長 300mm,錐形部分長 200mm,錐度大端直徑為 50mm,小端直徑為 40mm,採兩頂心間車削錐度,則其尾座偏置量應為______mm。(A)7.5(B)8.5(C)6.5(D)9.5
6. 車削錐度時,複式刀座所旋轉的角度為______錐角。(A)1 /8(B)半(C)全(D)1/4
7. 醫院、飯店或宿舍之熱水系統耗能大,要設置熱水系統時,應優先選用何種熱水系統較節能?(A)電能熱水系統(B)熱泵熱水系統(C)瓦斯熱水系統(D)重油熱水系統。
8. 切斷車刀之兩側間隙角度以______度較佳。(A)14~16(B)2~4(C)10~12(D)6~8
9. 精度為 0.02mm 的游標卡尺,本尺刻度 1 格為 1mm,游標副尺之零刻度在本尺 9mm 至 10mm 之間,而游標副尺第 10 條刻度線吻合本尺刻度,則工件尺度是______mm。(A)9.50(B)9.18(C)9.09(D)9.20
10. 夾持工件時,最無需考慮的條件是(A)工件夾持之穩固性(B)工件之平衡狀態(C)工件旋轉時不得撞擊其他機件(D)工件用途。
11. 為探討兩個變數間的相關性,蒐集二組成對的數據所繪的圖形為(A)特性要因圖(B)散佈圖(C)雷達圖(D)直方圖。
12. 氣壓系統中錶壓力為 6 kg/cm2,則絕對壓力約為(A)5 kg/cm2(B)8 kg/cm2(C)6 kg/cm2(D)7 kg/cm2。
13. 雇主於臨時用電設備加裝漏電斷路器,可避免下列何種災害發生?(A)被撞(B)墜落(C)物體倒塌、崩塌(D)感電。
14. 車床電器設備絕緣不良,可能造成之現象為(A)正、反轉不靈(B)電磁開關會跳脫(C)漏電(D)馬達不轉動。
15. 一般車刀之間隙角宜為______度。(A)13~16(B)6~8(C)0~3(D)18~22
16. 下列何者與切削時間無關(A)切削速度(B)進給率(C)進刀深度(D)刀具角度。
17. 車削外徑時產生火花現象,其主因為(A)車削速度太慢(B)進給太慢(C)刀具鈍化(D)工作材質太軟。
18. 若使用後的廢電池未經回收,直接廢棄所含重金屬物質曝露於環境中可能產生那些影響?
A.地下水污染、B.對人體產生中毒等不良作用、C.對生物產生重金屬累積及濃縮作用、D.造成優養化(A)ACD(B)ABCD(C)ABC(D)BCD。
19. 在機械製圖中,一般最先繪製的線條是(A)剖面線(B)中心線(C)虛線(D)尺度線。
20. 購買下列哪一種商品對環境比較友善?(A)過度包裝的商品(B)一次性的產品(C)材質可以回收的商品(D)用過即丟的商品。
21. 在車床上車削長圓桿工件,最方便又正確的夾持方法是______工作。(A)彈簧套筒(B)夾頭(C)兩頂心(D)花盤
22. 兩頂心間高速車削工件,其兩端面已精車削,則車床尾座頂心應使用(A)死(B)活動(C)半(D)傘形頂心為宜。
23. 以規格 15cm 長的鋼尺量測工件,下圖箭頭位置的目測尺寸約為
(A)57 ㎜(B)57.5 ㎜(C)5.75 ㎜(D)58㎜。
24. 公制螺紋牙深為螺距的______倍。(A)0.7865(B)0.6495(C)0.866(D)0.559
25. 使用深度游標卡尺度量內孔深度,應量取其(A)圖示值(B)最大讀值(C)偏差量(D)最小讀值。
26. 按照現行法律規定,侵害他人營業秘密,其法律責任為:(A)僅需負民事損害賠償責任(B)刑事責任與民事損害賠償責任皆不須負擔(C)僅需負刑事責任(D)刑事責任與民事損害賠償責任皆須負擔。
27. 公司發給每人一台平板電腦提供業務上使用,但是發現根本很少在使用,為了讓它有效的利用,所以將它拿回家給親人使用,這樣的行為是(A)可以的,這樣就不用花錢買(B)不可以的,因為使用年限未到,如果年限到報廢了,便可以拿回家(C)可以的,因為,反正如果放在那裡不用它,是浪費資源的(D)不可以的,因為這是公司的財產,不能私用。
28. 高速鋼刀具中最耐熱之材料元素為(A)鉻(B)釩(C)鎳(D)鎢。
29. 下列何者「違反」個人資料保護法?(A)網路購物公司為辦理退貨,將客戶之住家地址提供予宅配公司(B)公司基於人事管理之特定目的,張貼榮譽榜揭示績優員工姓名(C)縣市政府提供村里長轄區內符合資格之老人名冊供發放敬老金(D)學校將應屆畢業生之住家地址提供補習班招生使用。
30. #100 號的砂係表示由何種大小的篩子所篩出?(A)每 1cm 2 中有 100 個篩孔(B)每 1c m 中有 100 個篩孔(C)每 25.4 ㎜ 2 中有 100 個篩孔(D)每 25.4 ㎜中有 100 個篩孔。
31. 用 WA 砂輪磨削高速鋼車刀,發現車刀磨削面有燒焦情形,其不可能原因為(A)組織太密(B)磨削時加壓太大(C)結合度太軟(D)砂輪粒度太細。
32. 檢查曲面工件最精確之量具是(A)外徑分厘卡(B)放大鏡(C)光學比測儀(D)樣板。
33. 活頂心裝於車床主軸孔前之首要工作為(A)加油滑入(B)以塑膠鎚敲入(C)擦拭乾淨配入(D)加紙套入。
34. 利用公制車床之錐度附件車削 1:20 之錐度(錐度附件刻度每格以 1/10 表示)則偏置格數為多少?______格。(A)2(B)3(C)1(D)0.5
35. 車床上鑽孔與擴孔無關的因素是(A)靜點偏離中心(B)鑽頂角太大(C)兩鑽唇不等長(D)兩鑽唇角不相等。
36. 方鍵 5×5×20 ㎜,其中 20 表示鍵之(A)深度(B)長度(C)寬度(D)高度。
37. 就加熱及節能觀點來評比,電鍋剩飯持續保溫至隔天再食用,與先放冰箱冷藏,隔天用微波爐加熱,下列何者是對的?(A)微波爐再加熱比較省電又方便(B)兩者一樣(C)優先選電鍋保溫方式,因為馬上就可以吃(D)持續保溫較省電。
38. 中華民國國家標準(CNS)鋼鐵符號第一部分表示(A)製品之形狀(B)合金元素含量(C)材質之英文名稱或元素符號(D)製造方法。
39. 要車製 M20×2.5 的內螺紋,先車削的孔徑是______mm。(A)12.5(B)20.0(C)17.5(D)14.5
40. 鑽頭常用之鑽唇間隙角範圍為(A)13°~15°(B)16° ~20°(C)8° ~12°(D)5°~7°。
41. 車床上銼光,下列何者為最不正確?(A)去除毛邊(B)去除工件之段差(C)去除工件之微量尺寸(D)去除刀痕。
42. 三線法配合外徑分厘卡是用於度量螺紋的(A)節徑(B)底徑(C)節距(D)牙深。
43. 洗碗、洗菜用何種方式可以達到清洗又省水的效果?(A)用熱水及冷水大量交叉沖洗達到最佳清洗效果(B)把碗盤、菜等浸在水盆裡,再開水龍頭拼命沖水(C)對著水龍頭直接沖洗,且要盡量將水龍頭開大才能確保洗的乾淨(D)將適量的水放在盆槽內洗濯,以減少用水。
44. 以偏置尾座車削錐度 1:10 之工件,設工件全長 150mm,錐度長 100mm,則尾座偏置量應為______mm。(A)15(B)10(C)7.5(D)5
45. 受雇人於職務上所完成之著作,如果沒有特別以契約約定,其著作人為下列何者?(A)雇用人(B)雇用公司或機關法人代表(C)由雇用人指定之自然人或法人(D)受雇人。
46. 亂丟香菸蒂,此行為已違反什麼規定?(A)民法(B)刑法(C)廢棄物清理法(D)毒性化學物質管理法。
47. 下列何種開發行為若對環境有不良影響之虞者,應實施環境影響評估:
A.開發科學園區;B.新建捷運工程;C.採礦。(A)ABC(B)AB(C)BC(D)AC。
48. 鉸削 10mm 孔之中碳鋼圓桿,鑽頭直徑宜選用______mm。(A)9.4(B)9.8(C)9.6(D)9.2
49. 下列那一組是用來量測偏心工件之工具(A)分原卡與塊規(B)量錶與V型枕(C)量錶與平行塊(D)分厘卡與V型枕。
50. 車床上進行中碳鋼 φ50mm 粗輥花時,首次最適合的輥壓深度約為______mm。(A)2 (B)0.5(C)1.5(D)1
51. 下列材料中,硬度最低的金屬是(A)鋁(B)鑄鐵(C)銅(D)鋼。
52. 輥花時在工件上加注切削劑主要是為(A)保護輥輪銳利(B)使工件的粉狀切屑脫落(C)保護車床壽命(D)防止工件膨脹。
53. 下列何者非節省能源的做法?(A)電冰箱溫度長時間調在強冷或急冷(B)影印機當 15 分鐘無人使用時,自動進入省電模式(C)汽車不行駛短程,較短程旅運應儘量搭乘公車、騎單車或步行(D)電視機勿背著窗戶或面對窗戶,並避免太陽直射。
54. 車床尾座無法固定時,應調整(A)尾座手輪(B)尾座左側螺絲(C)尾座心軸固定桿(D)尾座下方之螺帽。
55. 管路之永久接頭的接合方式是(A)嵌合凸緣連接(B)螺紋連接(C)鉚接(D)熔接。
56. 規格 15 cm 長的鋼尺,其最小刻度為(A)10 ㎜(B)0.5 ㎜(C)5 ㎜(D)1 ㎜。
57. 國際規格"P"類,比"K"類刀具材質(A)耐磨性高、韌性低(B)韌性高、硬度低(C)韌性高、耐磨性低(D)耐磨性低、硬度高。
58. 車床橫向進給刻度環每刻度進給為 0.025mm,若工件直徑為 30.4mm,欲車削至直徑為 30.0mm時,則刻度環應轉多少格?______格。(A)16(B)4(C)12(D)8
59. 車削端面選用夾持方式,首先應考量工件之(A)形狀(B)材質(C)精度(D)重量。
60. 車削工件是否選用切削劑,最主要應考量______來作決定。(A)工件材質(B)車床結構(C)環境清潔(D)切削深度
61. 高速車削中碳鋼圓桿,宜選用何種材質的車刀較佳(A)高速鋼(B)碳化物(C)工具鋼(D)高碳鋼。
62. 一般車床車削大平面要計算其迴轉數時,直徑應選______位置。(A)中間(B)最大(C)任意(D)最小
63. 重車削進行中,發現工件有明顯刮槽,即表示有(A)工件表面有硬塊(B)工件材質太硬(C)堆積刀刃(D)刀刃磨損。
64. 統計品質管制的發展年代約為(A)1980 年代(B)2000 年代(C)1950 年代(D)1900 年代。
65. 以量錶校正圓桿之偏心量時,其量錶之讀數值即為偏心量乘以(A)4(B)1(C)1/2 (D)2。
66. 所謂第三代電腦使用之主要電子元件為(A)真空管(B)積體電路(C)電晶體(D)超大型積體電路。
67. 偏心量為 1mm 之圓桿校對時,工件旋轉一週,則量錶長針移動______mm 為正確。(A)1 (B)0.5(C)2(D)1.5
68. 下列何者不是壓縮空氣的乾燥方式(A)吸附乾燥(B)加熱乾燥(C)再生乾燥(D)冷凝乾燥。
69. 下列何者可用鉸削的方法加工(A)內螺紋(B)錐孔(C)階級孔(D)退刀槽。
70. 依勞動基準法規定,雇主應置備勞工工資清冊並應保存幾年?(A)2 年(B)10 年(C)1 年(D)5 年。
71. 一內孔錐度工件,大徑為 30mm,小徑為 26mm,錐長為 20mm,車削前應先鑽孔之直徑下列何者較適當?______mm。(A)24(B)26(C)20(D)30
72. 車削"1:20"之錐度,經檢查後,距離規線尚有 8mm,則車刀尚須旋進的車削深度為多少 mm?______mm。(A)0.4(B)4(C)2(D)0.2
73. 車削不規則形狀工件,一般宜選用(A)四爪單動(B)三爪連動(C)雞心(D)套筒 夾頭。
74. 車床經兩頂心間工作試車結果,發現工件直徑兩端不一樣時,其正確的校正方法是(A)利用試桿和量錶校正(B)車頭與尾座兩頂心對齊(C)用外卡鉗校正(D)調整尾座上、下刻度線對齊。
75. 從事於易踏穿材料構築之屋頂修繕作業時,應有何種作業主管在場執行主管業務?(A)屋頂(B)擋土支撐組配(C)模板支撐(D)施工架組配。
76. 下列對車床兩心間工作之說明何者有誤(A)工件兩端都要鑽中心孔(B)車削時要使用牽轉具帶動(C)頭座頂心支撐工件無相對運動,稱死頂心(D)隨時注意兩頂心與工件有無過鬆或過緊情形。
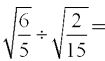
77. 砂輪標示"WA60K8V",其 60 表示(A)粒度(B)砂輪孔徑(C)磨料(D)組織。
78. 圓柱型工件,一般用幾個視圖表示(A)二(B)六(C)四(D)三。
79. 輥花之工作特性為______加工。(A)車削(B)塑性(C)研磨(D)剪切
80. 計算 (A)√15 (B)√5 (C)5(D)3。