所屬科目:統測◆06土木與建築群◆(一)工程力學、工程材料
1. 有一軟鋼試片受單軸向之拉伸工程應力 ( σ ) - 工程應變 ( ε ) 圖,如圖(一)所示,有關此材 料之測試結果,下列敘述何者錯誤? (A) 在 BC 段為完全塑性,且材料沒有明顯應變硬化 (B) 在超過 C 點以後直至 D 點,材料產生應變硬化 (C) 在 D 點之後,工程應力降低,主要是因為試片產生頸縮,而非材料發生軟化 (D) 在 E 點試片產生斷裂,將破斷試片之側向應變除以軸向應變之比值為材料之蒲松比
3. 有一立方體重量為 W,置於具有摩擦之水平面上,其靜摩擦係數為 0.5,動摩擦係數為 0.4,則下列哪一狀況可使物體產生移動之施力 P 最小? (A) (B)(C) (D)
6. 若分別有小轎車、中型巴士及大型貨車,其方向盤之直徑比為 = 2: 3: 4, 方向盤心軸之直徑比為= 1: 2: 3,且轉動方向盤心軸所需之最小力矩比為= 1: 2: 3,求能轉動小轎車、中型巴士及大型貨車方向盤的最小力矩比為何? (A) 2: 3: 4 (B) 1: 4: 9 (C) 4: 9: 16 (D) 1: 2: 3
7. 如圖(二)之桁架結構於 A 點受力 500 N,求 CE 桿之受力為何? (A) 1500N ( 拉力 ) (B) 1500N ( 壓力 ) (C) 750N ( 拉力 ) (D) 750N ( 壓力 )
8. 有一長×寬×高為 30 mm × 20 mm × 15 mm 之黃銅塊,設黃銅塊為均質等向性材料,其材料 受熱之線膨脹係數為 α = / ℃ ( 受熱之線膨脹係數為材料不受力情況下,材料單 位長度升高 1 ℃ 所產生的伸長變形量 ) ,當黃銅塊溫度均勻升高 50 ℃ 後,求此溫升造成 之體積應變為何? (A) (B) (C) (D)
10. 如圖(三)所示,有甲、乙及丙三種梁斷面,若其斷面積相等,外半徑分別為 R、2 R 及 3 R,且甲為實心圓形斷面,乙及丙皆為中空圓環形斷面,其可承受之最大彎矩分別為 M 1、M 2 及 M 3 ,當梁之容許應力皆相同時,則甲、乙及丙梁分別可承受之最大彎矩比 M 1 : M 2: M 3 為何? (A) 6: 21: 34 (B) 7: 23: 34 (C) 8: 23: 35 (D) 9: 25: 37
11. 如圖(四)所示,有一 200 cm 長之矩形斷面的懸臂梁,當自由端 C 處同時受一 100 kgf 之集中力及 10000 kgf - cm 之彎矩作用時,且忽略梁之重量,求另一端 A 處及 B 處的 最大正向應力分別為何? (A) (B) (C) (D)
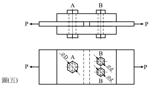
12. 如圖(五)所示之螺栓接合板,使用相同材質直徑為 D 的 A 螺栓及直徑為 d 的 B 螺栓接合, 在鋼板皆不破壞,且忽略鋼板間摩擦力,則當兩側拉力皆為 P 時,可使 B 及 A 螺栓斷面 剪應力相同的螺栓直徑比 d: D 為何? (A) 1: 4 (B) 1: 2 (C) (D)
13. 一般材料之蒲松比 ν 的大小範圍為,則其材料的彈性係數 E、剛性模數 G 及體積彈性係數 Ev 之間的關係,下列何者正確? (A) (B) (C) (D)
14. 有一均勻細鐵線物件在平面上成形如圖(六)之幾何構形,若鐵線直徑遠小於 r,則此物件形心 G 的位置為何? (A) (B) (C) (D)
15. 四種簡支梁的受力型式如圖(七)之甲、乙、丙及丁圖所示,P 為集中力,M 為力矩,q 為 均佈荷重,w ( x ) 為一次均變荷重,且忽略梁之重量,則下列對各梁發生危險斷面位置之 敘述,何者錯誤? (A) 甲圖發生在 C 1 處 (B) 乙圖發生在 C 2 處 (C) 丙圖發生在 A 3 處 (D) 丁圖發生在 C 4 處
16. 若下列正方形與圓形之面積大小相等時,且 O 為各面積的形心,則下列何者對其 x - y 直 角座標軸之斷面模數最小?(≒ 1.77 ) (A) (B) (C) (D)
17. 有一雙料梁,其受一力矩負載及斷面尺寸如圖(八)所示,材料 ① 及材料 ② 的彈性係數分 E 別為 E1 及 E2,當 ,且梁受一逆時針彎矩 M 作用時,則此彎矩在材料 ① 與材料 ② E1 分別產生的最大彎曲應力大小比 σ 1:σ 2 為何? (A) 1: 4 (B) 1: 8 (C) 1: 16 (D) 1: 32
19. 如圖(九)所示,有一外伸梁,總長度為 2 L,在 A 點右側處受一向下集中力 P = wL,B 點右側外伸 L 長度,且承受一均佈荷重 w,若忽略梁之重量,則下列敘述何者正確? (A) 支承 A 點反力為 ( 向下 ↓ ) (B) 支承 B 點反力為 ( 向上 ↑ ) (C) 支承 B 點有最大彎矩,大小為 (D) CB 段梁之剪力大小為
20. 如圖(十)所示,有兩力作用在一懸臂梁上,若忽略梁之重量,求在 O 點固定端的支承反力及 反力矩大小分別為何? (A) 支承反力大小為 ,反力矩大小為 (B) 支承反力大小為 ,反力矩大小為 (C) 支承反力大小為 ,反力矩大小為 (D) 支承反力大小為 ,反力矩大小為
27. 表(一)為卜特蘭水泥的化合物含量及細度,則水泥種類 ①、② 及 ③ 依序分別為何種型別水泥? (A) Ⅰ、Ⅱ、Ⅲ (B) Ⅰ、Ⅲ、Ⅳ (C) Ⅰ、Ⅳ、Ⅴ (D) Ⅰ、Ⅱ、Ⅳ