所屬科目:統測◆06土木與建築群◆(一)工程力學、工程材料
2. 如圖(一)所示之樑,欲使樑跨度中點C處之曲率為零,則M0應為何? (A)wL2 / 4 (B)wL2 / 8 (C)wL2 /16 (D)wL2 / 32
3. 如圖(二)所示之構件中,A點之各項內力(絕對值)為何? (A) 軸力:5 kN,剪力:5 kN,彎矩:10 kN-m (B) 軸力:5 kN,剪力:10 kN,彎矩:20 kN-m (C) 軸力:10 kN,剪力:15 kN,彎矩:15 kN-m (D) 軸力:10 kN,剪力:10 kN,彎矩:15 kN-m
4. 一承受均佈載重之矩形斷面簡支樑,圖 ( 三 )中 A 點位於中性軸上,若 σ1 為最大主應力, σ2為最小主應力,下列何者為其主應力圖示? (A) (B) (C) (D)
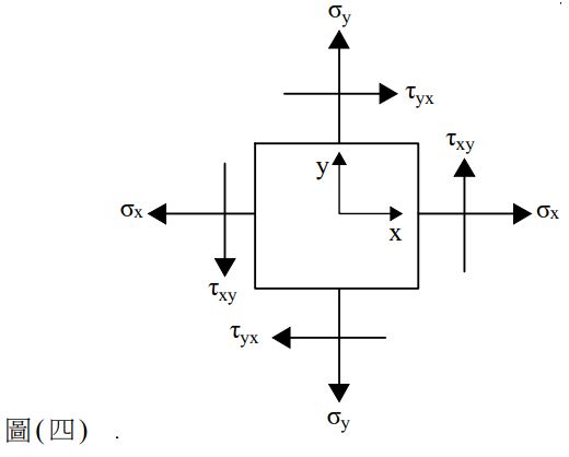
5. 某材料之極限拉力強度為 360 MPa,極限剪力強度為 150 MPa,其平面應力狀態如圖 ( 四 ) 所示。若=280MPa及=40MPa,當大於何值時將產生破壞? (A) 90MPa (B) 160MPa (C) 200MPa (D) 280MPa
6. 如圖(五)所示之矩形懸臂樑,則固定端A點處之應力狀態為何? (A) 正向應力:2.4MPa,剪應力:0.15MPa (B) 正向應力:2.2MPa,剪應力:0.15MPa (C) 正向應力:2.2MPa,剪應力:0MPa (D) 正向應力:1.9MPa,剪應力:0MPa
7. 如圖(六)所示,A物體重20 N,B物體重30 N,C物體重50 N,A與B之接觸面的靜摩擦 係數為0.3,B與C間接觸面的靜摩擦係數為0.2,C與地面間之靜摩擦係數為0.4,若要使 B物體往左移動,則P最小值為何? (A) 8N (B) 10N (C) 16N (D) 40N
8. 如圖(七)所示的桁架,BD桿件之內力為何? (A) 5 kN(壓力) (B) 5 kN(拉力) (C)kN (壓力) (D)kN (壓力)
9. 如圖(八)之桁架A與桁架B,其分別於頂部及底部承受2個向下力P,若A之內力為零桿件數目為M,B之內力為零桿件數目為N,則M減N為何? (A) 4 (B) 0 (C) - 4 (D) - 2
10. 如圖(九)所示的桁架,AB桿件之內力為何? (A)kN (壓力) (B)kN (拉力) (C)kN (壓力) (D)kN (拉力)
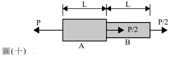
11. 一組合桿件為由 A 桿件與 B 桿件接合而成,受力情況如圖 ( 十 ) 所示,兩桿件皆為線彈性 材料,長度皆為 L。A 桿件之彈性係數為 100 GPa、斷面積為 20 cm2 ,B 桿件之彈性係數 為200GPa、斷面積為15 cm2 。若A桿件的伸長量為0.3 cm ,則B桿件的伸長量為何?
(A) 0.1 cm (B) 0.2 cm (C) 0.3 cm (D) 0.6 cm
13. 如圖 ( 十一 ) 所示有 A、B、C 三塊板塊緊密接合在一起,及接合於上下固定面,板塊 A 與 C 之彈性係數 E 為 26 GPa,蒲松比 ν 為 0.3,各板塊之接合面積為 25 cm2 ,B 板塊承受 一向右之力10 kN,則C板塊之平均剪應變為何?
(A)rad (B)rad(C)rad (D)rad
14. 一樹幹剖成的平板,形狀不規則但厚度均勻,在其表面畫一水平參考線,如圖 (十二) 所示,平板上面選一A點、下面選一B點,A、B兩點水平距離是10cm,垂直距離是22cm, 由 A 點吊起時參考線與水平線夾角是 45 °,由 B 點吊起時參考線與水平線夾角是 60 °, 其重心O點與A點的垂直距離為多少 cm? (A) (B) (C) (D)
15. 如圖(十三)所示共10個力量施作在一共同點上,呈平衡狀態,且各夾角維持不變, 若f3增加3N,f1跟f7要改變多少才能再達成平衡(其他力不變)? (A) (B) (C) (D)
16. 如圖 ( 十四 ) 所示,在一方塊磁磚的一破角上,畫上方格圖及 x - y - z 座標,再用細繩將該 磁磚水平吊起,A點吊繩拉力=0.1N,B點吊繩拉力=0.1N,C點吊繩拉力=0.12N, 若將該磁磚傾斜,使x軸與原x軸夾角為25 °,y軸與原 y軸夾角為30 °,z軸與原z軸夾角 為20 °,繩子都維持垂直,則各改變多少N?(sin 20 °=0.342、cos 20 °=0.940、 sin25°=0.423、cos25°=0.906) (A) - 0.342、- 0.158、0.500 (B) - 0.500、0.158、0.342 (C) - 0.158、- 0.158、0.316 (D) 0、0、0
17. 如圖(十五)所示,在x - y平面座標上,以原點為圓心,4 cm為半徑劃一FD圓弧,以E點 為圓心,3cm為半徑劃一FB圓弧,與水平線BD圍成FBD的弧邊三角形,計算其形心C點座標(x,y)為何(以cm為單位)? (A) (3.231,1.023 ) (B) ( 3.131,0.973 ) (C) (3.031,0.923 ) (D) ( 2.931,0.873 )
18. 如圖 ( 十六 ) 所示,平面上三個圓疊在一起,圓 A 半徑 30 cm 重 4 N,圓 B 半徑 28 cm 重 3.5 N,圓 C 半徑 26 cm 重 2 N,A 點、B 點、C 點各為其圓心,置於水平線 D 上, 角CAB() =55.919°,角CBA() =59.196°,圓 A 及圓 B 與水平線 D 的接觸點相距59 cm,AB 連線與水平線夾角 (θ) =1.941°,圓 A 與圓 B 沒有接觸,各個接觸面的 靜摩擦係數都夠大以維持平衡,圓 A 與水平線 D 間的摩擦力比圓 B 與水平線 D 間的摩擦力大多少? (A) 0.00N (B) 0.268N (C) 0.419N (D) 0.634N
19. 如圖(十七)所示,斜面A上一直徑為40 cm的圓板B重4N,A與B的接觸面靜摩擦係數 μs 為0.2,圓心受一水平力F,若要保持平衡狀態,則摩擦力為何? (A)0N(B)N (C)N (D) N
27. 有 P、Q 兩種材料由單軸拉力試驗所得之應力與應變曲線圖如圖 ( 十八 ) 所示,何者敘述不正確? (A) 當應力未超過降伏強度時,P比Q呈現較大之變形量 (B) 在材料降伏後,P比Q呈現較大之完全降伏 (C) 如P、Q有相同斷面積時,P比Q能承受較大之載重 (D) P比Q呈現較大之應變硬化現象
30. 便利商店盛裝食品之塑膠餐盒上有標記,該材質為何? (A) PS (B) PP (C) PVC (D) PET
34. 某木材密度試驗的結果如表(一),則容積密度大約為何(取最接近值)? (A) 0.350 g / cm3 (B) 0.400 g / cm3 (C) 0.450 g / cm3 量測項目 記錄值 (D) 0.550 g / cm3
36. 精密度(precision)及精準度( accuracy)均用為表示材料試驗測定值之準確程度,依圖(十九) 所示試驗測定值之四種常態分佈圖,μ 為標準值,何者敘述正確?(A) 甲比丙有更優之精準度 (B) 丙比丁有更優之精準度 (C) 乙比丙有更優之精密度 (D) 甲比丙有更優之精密度