所屬科目:研究所、轉學考(插大)◆數理統計學
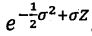
1. (15%) Assume that Z follows a standard normal distribution, i.e. Z~N(0, 1), σ is a constant, and X = . please compute the value of the expectation given by E[Max(X-1,0)] +E[Min(X-1,0)].
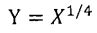
2. (15%) Let X1 and X2 be two independent random variables and both of then follow a standard normal distribution. Let Y = .Please find the probability density function of Y.
3. (10%) Assume that X is a random variable with a probability density function f(x) that is positive and continuous when a < x < b; zero elsewhere. The distribution function F(x) of X may be written F(x) = 0 when x ≤ a, and F(x) = 1 when x ≥b. Assume that there is a number M of the distribution with F(M)=0.3. Let X1, X2 and X3be a random sample from this distribution. LetY1<Y2 <Y3 denote the order statistics of the sample. Please compute the value of Pr(Y2 < M).
4. (10%) Assume that the joint pdf of X and Y is given as follows:Please compute the value Pr(X+Y <1).
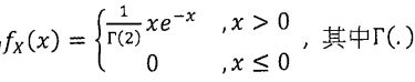
8.設隨機變數X服從Gamma(r=2,λ=1),且X的的probability density function (p.d.f.)為為Gamma 函數,試求隨機變數X的眾數 (10分)
A. (5分)
B. (5分)
c. (5分)