所屬科目:研究所、轉學考(插大)◆數理統計學
a. (5pt) Let X be one observation from a N(0,θ) distribution. Find the sufficient statistic for θ.
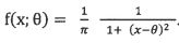
b. (Spl) Let X1,X2.... Xn be i..d. from the density . Find the sufficient statistic for
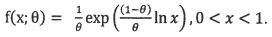
c. (5pt) Let X be one observation from the densityFind an unbiased estimate for θ.
d. (10pt) Let X1, X2, ..., X8 be a random sample from Uniform, where u and o > 0 are the unknown parameters. Find the MLE of I and a based on the 8 observations: X1=2.88,X2=-4.04,X3=-3.26,X4=-3.57, X5=-0.09,X6=0.25,X7=-2.58,X8=4.59.
e. (5pt) Let X be one observation from Uniform(θ, θ + 1). For testing H0:θ = 0 vs. H1:θ> 0, find the power function for the decision rule that we reject H0if X > 0.9
f. (5pt) Let X1,X2,... , Xn be a random sample fromFind the MLE of θ.
b. (12pt) Are and X independent? Prove or disprove it with your work.
3.(15pt) Let X1, x2.,... Xn be a random sample from the density Test Ho: θ ≤θ0 vs. H1:θ> θ0. Find a uniformly most powerftul size a test if such exists.
b. (4pt) Find the moment estimate of θ