所屬科目:研究所、轉學考(插大)◆數理統計學
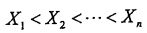
2. Let be the order statistics of n independent observations
from a U(0,1) distribution and let Yn be Yn=Xn- X1.Please calculate the
expectation of
(b) Find the maximum likelihood estimator of σ. (9%)
(b) If the set is the confidence interval of θ, please calculate its confidence coefficient. (8%)
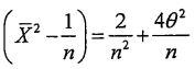
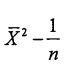
(a) Show that the uniformly minimum variance unbiased estimator (UMVUE) of .(15%)
(b) If Var. Does the variance of attain the Cramer- Rao lower bound for estimating θ2? Give your reason. (10%)
(b) Please construct an approximate 95% confidence interval for the proportionp based on the collected data. (10%)