所屬科目:研究所、轉學考(插大)◆數理統計學
1. Let Ω be the region between y = x² cos(x²) and the x-axis, 0 ≤ x ≤ √π/2. Find the volume of the solid obtained by rotating Ω about the y-axis.
(a) Show that h(x) has an inverse.
(b) The inverse function of h is denoted as . Find the derivative of at π/4, (π/4).
(a)
(b)
4. Set
Show that f(x,y) do not have a limit as (x, y) → (0,0).
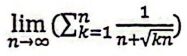
5. Prove or disprove that
is differentiable at x = 0.
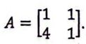
6. For a square real matrix A, define , where A⁰ is defined to be the identity matrix I. Evaluate for
Show your work.