題組內容
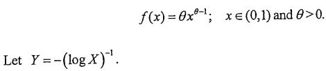
4. Let X be a single observation from the probability density function
(b) If the set
is the confidence interval of θ, please calculate its confidence coefficient. (8%)
4. Let X be a single observation from the probability density function
(b) If the set
is the confidence interval of θ, please calculate its confidence coefficient. (8%)