所屬科目:研究所、轉學考(插大)◆工程數學
1. (15%) The following matrix describes a system of linear equations in five unknowns: v, w, X, y, z.What is the general solution to this system?
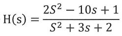
3. (20%) Find the impulse and step responses of a system with transfer function.
4.2 (5%) Using the result from part 4. 1, draw a plot of x(t) over the range of -8 ≤ t≤ 8 seconds.
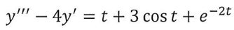
5.(20%) Find a particular solution of