題組內容
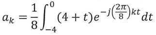
4. (15%) A signal x(t) is periodic with period T0= 8. Therefore, it can be reproduced as a Fourier series:

The Fourier series coefficients for this representation of a particular signal x(t) are given by the integral
4. (15%) A signal x(t) is periodic with period T0= 8. Therefore, it can be reproduced as a Fourier series:

The Fourier series coefficients for this representation of a particular signal x(t) are given by the integral