所屬科目:台大◆資工◆數學(含線性代數、離散數學)
1. (10%) A graph is bipartite if and only if it has no cycle of______length. A bipartite graph can be colored with ________colors.
2. (10%) If✖___________log2n.
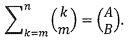
4.(10%) With 0≤m,n, A =__________ and B =_____________in
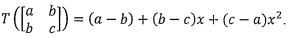
(b) (5%) Let V be a vector space of all symmetric 2 x 2 matrices. Define a linear transformation T:V → P2(R) by Find rank(T).
7. (10%) Suppose is the minimal polynomial of a nonsingular n X n matrix A. Find .
8. (10%) Solve for t if det=0.