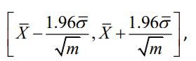
(2). (10%) Let x1 , x2 , x3 , …, xm be m samples of a random variable X . If m is sufficiently large ( m 30 ), please show that the 95% confidence interval for the mean of X is:

where
and
denote the sample mean and sample standard deviation, respectively.