阿摩線上測驗 登入

申論題資訊

試卷:110年 - 110 國立高雄大學_碩士班招生考試_金融管理學系:統計學#102158
科目:研究所、轉學考(插大)◆統計學
年份:110年
排序:0

題組內容

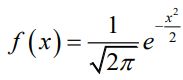
5. Let X be normally distributed with mean 0 and variance 1. The probability density function of X is 6167da570e166.jpg . Please answer the following question:

申論題內容

(2). (7%) What is the probability density function of X2 ?