阿摩線上測驗
登入
首頁
>
教甄◆電腦科專業
> 110年 - 110 臺北市公立國民小學_教師聯合甄選初試專門類科知能試題:資訊科技科#98871
110年 - 110 臺北市公立國民小學_教師聯合甄選初試專門類科知能試題:資訊科技科#98871
科目:
教甄◆電腦科專業 |
年份:
110年 |
選擇題數:
35 |
申論題數:
0
試卷資訊
所屬科目:
教甄◆電腦科專業
選擇題 (35)
16. 假設一個子網路的位址區段定義為 163.112.58.128/25,則其子網路遮罩應該設定為? (A) 255.255.255.0 (B) 255.255.255.128 (C) 255.255.255.192 (D) 255.255.255.224
17. 下列何者
不屬於
即時反饋系統 (Instant Responsive System, IRS) 的教學軟體或平臺? (A)Quizlet (B)Quizizz (C) Kahoot (D) Illustrator
18. 著作財產權之保護期間以著作人之生存期間及死後多少年為原則? (A)10 年 (B)20 年 (C)50 年 (D)99 年
19. 虛擬私人網路(VPN),利用穿隧技術(Tunneling)與加解密技術,在 Internet 上建立一條秘密通道供私人使用。下列何者
非
關於穿隧技術所利用的主要協定? (A)PPTP (B)L2TP (C)IPsec (D)Proxy
20. 有兩個數字 X 與 Y,其十六進位的表示法分別為 X=A2,Y=5B,如果這兩個數字經過 XOR 邏輯運算,並將其結果 存入變數 Z,請問 Z 的內容以 16 進位表示時,應該為何? (A)02 (B)F9 (C)FB (D)5D
21. 關於 IOT 教育體驗學習之套件,下列何者
非
上述用途? (A)Micro:bit (B)Arduino (C)Webduino (D)Teams
22. 虛擬私人網路(VPN)採用 IPSec 技術,是在第幾層網路協定來實作加密機制? (A)第一層 (B)第三層 (C)第五層 (D)第七層
23. 撰寫程式時,對於經常被執行程式部分,會以模組方式撰寫,關於模組,下列何者
錯誤
? (A)函數不一定會回傳值 (B)副程式(subroutine)或程序(procedure)是模組的同義詞 (C) C 語言的函數(function)即為模組 (D)遞迴式函數是函數呼叫自己(call by itself),因此執行時會用到系統佇列(queue)
24. 下列何者為網路層所使用的內部閘道路由演算法(Interior Gateway Routing Protocol)? (A)IP(Internet Protocol) (B)BGP(Border Gateway Protocol) (C)OSPF(Open Shortest Path First) (D)EGP(Exterior Gateway Protocol)
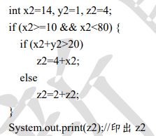
25. 追蹤程式:
程式印出內容為? (A)7 (B) 6 (C) 4 (D)2
26. 無失真資料壓縮(Lossless Compression)係指資料經過壓縮後,資訊不受損失,還能完全取消復原到壓縮前的原樣。 在下列檔案格式中,哪一種是無失真資料壓縮的格式? (A)jpg (B)mp3 (C)png (D)wav
27.
, X 為 (A)6 (B)7 (C) 11 (D) 13
28. 以下關於加解密機制的敘述,何者正確? (A)加密是一種將可閱讀資料轉換成人們無法閱讀的密文,以避免未經授權存取的程序。 (B)公鑰加密技術是一種對稱金鑰加密技術。 (C)加密演算法的算式本身是不公開的資訊,以免無法保護加密文件。 (D)所有金鑰都可以公開在有保全機制的伺服器上。
29. 請問以下哪種人工智慧(AI)技術需要倚靠大量的事前作業,將所有可能的特質標記起來,從標籤化 (labeled) 的資訊 中分析模式後做出預測的學習方式? (A)無監督學習(Un-Supervised Learning) (B)監督學習(Supervised Learning) (C)強化學習(Reinforcement Learning) (D)決策樹學習(Decision Tree Learning)
30. 請問 192.168.0.34/27 是屬於哪一個網路區段? (A)192.168.0.0 (B)192.168.0.8 (C)192.168.0.16 (D)192.168.0.32
31. 在電腦教室內有 30 臺電腦,如果使用 UTP 網路線直接連接到具有 48 埠的交換器(switch)上,則此種網路連線結構 為以下哪一種? (A)匯流排拓樸結構 (B)星狀拓樸結構 (C)環狀拓樸結構 (D)網狀拓樸結構
32. 下列關於 DNS 的描述,何者正確? (A)DNS 為一集中式資料庫 (B)DNS 查詢是使用 UDP port 35 (C)DNS resource record 共有四種欄位 (D)DNS 查詢只有遞迴(recursive)執行一種查詢方式
33. 以下關於 NFC(Near Field Communication)的描述,何者正確? (A)NFC 是一種短距離、接觸式的廣播資料交換技術。 (B)NFC 的傳輸距離長(高於 1 公尺),且傳輸速率高(高於 1Mbps)。 (C)NFC 的技術與 RFID 無關,所以 RFID 的應用完全無法用 NFC 來取代。 (D)目前內建 NFC 技術的裝置多為行動裝置,常見的應用為電子車票、電子錢包等。
34. 以下對於網路服務(Web Service)的敘述,哪一個
錯誤
? (A)網路服務是透過 HTTP 協定進行存取 (B)網路服務是透過 FTP 協定進行存取 (C)網路服務是透過網站伺服器提供服務 (D)網路服務負責執行遠端程式,並將結果以 XML 檔案格式包裝後傳回
35. 請問下列 C++程式執行後,輸出結果為何?
(A)77 (B)17 (C)71 (D)11
36. 關於人工智慧(AI),下列敘述何者正確? (A)大部分手機 APP 都是運用 AI 技術所撰寫 (B)現在 CPU 本身都內建 AI 功能 (C)CNN、RNN 是 AI 技術的深度學習(Deep Learning)方法 (D)遞迴(Recursion)是 AI 技術
37. 在《十二年國民基本教育課程綱要-科技領域》中,下列敘述何者
錯誤
? (A)科技領域課程係由資訊科技與生活科技兩門科目來實踐課程理念與目標。 (B)科技領域由「學習表現」與「學習內容」兩向度所組成。 (C)資訊科技學習表現包含:「運算思維與問題解決」、「資訊科技與合作共創」、「資訊科技與溝通表達」以及「資 訊科技的使用態度」四大面向。 (D)科技領域於國民小學階段有規劃為領域學習課程,以確保國民小學教育階段學生具備良好的科技素養。
38. 國家教育研究院於 109 年 6 月公布國民小學科技教育及資訊教育課程發展參考說明,下列有關該參考說明之內容描 述何者
錯誤
? (A)資訊教育課程發展在第二學習階段及第三學習階段均有擬訂學習重點,供為參考。 (B)資訊教育課程發展之學習表現包含運算思維與問題解決、資訊科技與合作共創、資訊科技與溝通表達及資訊科 技的使用態度四項。 (C)資訊教育課程發展之學習內容包含演算法、程式設計、系統平臺、資料表示、處理及分析、資訊科技應用、資 訊科技與人類社會。 (D)國民小學教育階段於部定課程中設有科技領域,在國小三到六年級規劃 1 節。
39. 因應新型冠狀病毒疫情之學生居家自主健康管理及防疫期間的學習需求,各級學校師生紛紛演練各種線上教學平臺, 期望能讓學習不受疫情影響。以下關於線上教學的描述,何者
錯誤
? (A)教育部鼓勵親師生善用各種數位平臺資源,讓防疫不停學。 (B)教師與學生可以運用視訊同步教學的工具(如 Zoom、Jitsi Meet、Microsoft Teams、Cisco WebEx、Google Meet),搭配教師現有的教材(如教科書補充教材)進行同步上課互動學習。 (C)教師與學生可以運用非視訊同步教學的工具(如 Google Classroom 討論區、Juiker、Line),透過文字、聲音進行 同步上課互動學習。 (D)教師可以運用數位資源與工具(如教育部學習拍、臺北市酷課雲、均一等)進行非同步教學,教師指派學生適宜 課程、學習內容與作業,透過線上學習平臺可記錄了解學生學習成效。
40. 以下關於 DHCP(Dynamic Host Configuration Protocol)通訊協定的描述,何者正確? (A)DHCP 通常是用於廣域網路內的一個通訊協定 (B)DHCP 伺服器與用戶端不需要在同一個實體網段內 (C)用戶端首先利用廣播封包發送搜索 DHCP 伺服器的封包 (D)用戶端總共需要發出 4 個封包及接收 4 個封包才能完成取得 IP 參數的程序
41. 目前是 AI 大爆發時代,請問要如何面對與應用生活中的人工智慧,以下哪一項
不適當
? (A)提升自我專業力 (B)具有接納排除力 (C)養成行動學習力 (D)培養創造思考力
42. 以下關於 IPv6 的描述何者正確? (A)IPv6 二進位制下為 128 位元長度,以 8 位元為一組,每組以冒號「:」隔開。 (B)位址數字中的 0 只有在前導的 0 才可以省略,中間連續的 0 則不能省略。 (C)IPv6 可以用雙冒號「::」表示一組 0 或多組連續的 0,所以 2001::25de::cade 是合法的地址。 (D)如果 IPv6 位址實際上是 IPv4 的位址,那麼後 32 位元可以用 10 進制數字表示;因此::ffff:192.168.89.9 相等 於::ffff:c0a8:5909
43. 在主程式外面宣告的變數,其範圍是屬於下列哪一個? (A) Local (B) A. Automatic (C) External (D) Global
44. 關於光纖分散數據介面(FDDI)的說明,以下哪一個
為非
? (A)其網路為雙環環路架構 (B)其傳輸速率為 100Gbps (C)其通訊協定採用『符記傳遞』(Token Passing)通訊模式 (D)其提供同步及非同步傳輸服務
45. 下圖為 Raspberry Pi 3 Model B, 請問下列哪一個可以接相機模組?
(A) 1 (B) 2 (C) 3 (D) 4
46. NAT 伺服器也稱他為內部 LAN 主機的「IP 分享器」,若內部 LAN 有任何一部主機想要傳送封包出去時,這個封 包透過 Linux 主機傳送出去時共有 4 個步驟,請問 NAT 伺服器的重點是下列流程的哪些步驟? 1.先經過 NAT table 的 PREROUTING 鏈; 2.經由路由判斷確定這個封包是要進入本機與否,若不進入本機,則下一步; 3.再經過 Filter table 的 FORWARD 鏈; 4.通過 NAT table 的 POSTROUTING 鏈,最後傳送出去。 (A) 1 和 2 (B) 3 和 4 (C) 1 和 4 (D) 2 和 3
47. 在試算表中,如下圖給定之儲存格內容,若在儲存格 E1 輸入公式「=COUNTIF(A1:D2,">0")」,則該公式的計算值 為多少?
(A) -13 (B) 2 (C) 4 (D) 15
48. 在 2016-2020 資訊教育總藍圖中,其擬達成之願景為「深度學習、數位公民」,目標有學習、教學、環境及組織等四 個面向,以利願景的實現。請問以下哪一項是用於達成學習面目標之策略? (A)資訊科技,運算思維 (B)跨域合作,平等取用 (C)企業合作,開源軟體 (D)資訊教師,專業認證
49. 以行動學習達成翻轉課堂概念的教學方式近幾年被教育現場教師廣泛的運用,數位學習平臺的支援扮演重要的腳色, 以下關於數位學習平臺的描述,何者
錯誤
? (A)「酷課雲」是臺北市政府教育局設置的官方學習網站,提供國小到高中師生相關教學等豐富的課程資源。 (B)「酷學習」是臺北市政府教育局配合行動學習智慧教學實施計畫所發展的學習管理系統,提供教師多元教學教 材指派、評量、線上互動等功能,以善用行動載具教學展現教育的創新能力。 (C)「酷學習」提供 AI 智慧教學學習管理系統,經由分析數位學習平臺之教學與學習紀錄,提供學生學習補救的 參考依據。 (D)「酷課雲」只能透過臺北市政府教育局單一身份驗證服務(LDAP 帳號),使用臺北市教育局統一配發之帳號 (老師、學生)登入使用。
50. 追蹤 Scratch 積木程式:
依據上述 Scratch 積木程式,貓咪會說出? (A) AAA (B) BBB (C) DDDD (D) GGG
申論題 (0)
相關試卷
113年 - 113 金門縣國民小學教師聯合甄選試題:資訊科技專業科目#120867
113年 · #120867
113年 - 113 高雄市市立國民小學_教師聯合甄選:專長類-資訊試卷#120693
113年 · #120693
112年 - 112 新北市國民小學暨幼兒園教師甄選試題:資訊科#118895
112年 · #118895
112年 - 112-1 國立臺東大學附設實驗國民小學教師甄選試題:資訊專業科目#115036
112年 · #115036
112年 - 112 臺北市市立國民中學正式教師聯合甄選:資訊科技(雙語)科#114640
112年 · #114640
112年 - 112 臺北市市立國民中學正式教師聯合甄選:資訊科技科#114633
112年 · #114633
112年 - 112 高雄市市立高級中等學校聯合教師甄選試題:資料處理科#114465
112年 · #114465
112年 - 112-1 國立東華大學附設實驗國民小學教師甄選題目:資訊專業#114445
112年 · #114445
112年 - 112 臺北市市立普通型暨技術型高級中等學校正式教師聯合甄選:資料處理科#114335
112年 · #114335
112年 - 112 新北市公立高級中等學校教師聯合甄選試題:資訊科#114159
112年 · #114159