所屬科目:技檢◆化工-丙級
1. 純碳酸鈣中(CaCO3=100),鈣的重量百分組成為多少%(Ca=40)?(A)80(B)60(C)20(D)40。
2. 將油脂熱至 300℃以上時,油脂則起分解而生成甘油的分解物為(A)丙烯醛(B)異丙酮(C)乙酸異丁酯(D)乙醛。
3. 小明拿到「垃圾強制分類」的宣導海報,標語寫著「分 3 類,好 OK」,標語中的分 3 類是指家戶日常生活中產生的垃圾可以區分哪三類?(A)資源、廚餘、事業廢棄物(B)一般廢棄物、事業廢棄物、放射性廢棄物(C)資源、廚餘、一般垃圾(D)資源、一般廢棄物、事業廢棄物。
4. 現場儀器空氣源配管上應個別裝置(A)過濾器及壓力表(B)直接連接(C)過濾器連減壓閥(D)減壓閥及壓力表。
5. 斐林試液(Fehling's reagent)與醛類反應時,可生成何種化合物之紅色沉澱?(A)Cu 2O(B)Cu(OH) 2(C)CuNO3(D)CuCO3。
6. 下列關於旋風分離器的敘述,何者錯誤?(A)含塵氣體需以切線方向送入旋風分離機內(B)集塵效果優於袋濾機(C)空氣中的灰塵可利用旋風分離器(D)旋風分離器是利用離心力來驅動,所以不須加設離心機。
7. 下列何者屬於高速離心機?(A)操作轉速達每分鐘 15000 轉之離心機(B)連續式離心機(C)批式離心機(D)自動批式離心機。
8. 濃度相同的下列各無機酸,何者之酸性最強?(A)PO(OH) 3(B)Si(OH) 4(C)SO2(OH) 2(D)ClO3(OH)。
9. 習慣上,常以所含之何種成分的百分比來表示肥料中磷與鉀之成分(A)H3PO4 與 KCl(B)P 4 與 K(C)P4O6與 KOH(D)P2O5 與 K2 O。
10. 使用移液管釋出試液時,下列操作何者錯誤?(A)握住移液管釋出最後一滴(B)取下吸球(C)尖端貼於燒杯玻壁(D)移液管保持垂直。
11. 當傳熱面積較小時,宜採用何種熱交換器才合乎經濟效益?(A)管殼式(B)雙套管式(C)鰭片狀式(D)螺旋板式。
12. 反應器之附件中的夾套(Jacket),是屬於(A)熱交換裝置(B)攪拌裝置(C)催化裝置(D)安全裝置。
13. 有關玻璃之敘述,下列何者不正確?(A)是一種典型的結晶(B)是一種過冷液體(C)主要成分為 SiO2(D)是一種固態溶液。
14. 變性酒精不能飲用,因加入何物?(A)甲酸甲酯(B)甲醛(C)甲酸(D)甲醇。
15. 對於吹哨者保護規定,下列敘述何者有誤?(A)任何情況下,事業單位都不得有不利勞工申訴人之行為(B)為實施勞動檢查,必要時得告知事業單位有關勞工申訴人身分(C)勞動檢查機構受理勞工申訴必須保密(D)事業單位不得對勞工申訴人終止勞動契約。
16. 物體乾燥時,何種水分被蒸發出去?(A)結晶水分(B)臨界水分(C)自由水分(D)平衡水分。
17. 在白色顏料中,何者因遮蓋力強且成本低,故用量最多?(A)氧化鋅(B)二氧化鈦(C)鹼式硫酸鉛白(D)鋅鋇白。
18. 材料的應力(Stress)與應變(Strain)呈線性關係的極限稱為(A)疲勞強度(B)彈性限度(C)耐衝擊強度(D)抗拉強度。
19. 硫酸之濃度在多少%以下時,通常都採比重表示且慣用波美度(Be')(A)93%(B)82%(C)68%(D)98%。
20. 室內裝修業者承攬裝修工程,工程中所產生的廢棄物應該如何處理?(A)河岸邊掩埋(B)交給清潔隊垃圾車(C)委託合法清除機構清運(D)倒在偏遠山坡地。
21. 熱量傳送推動力是為(A)溫度差(B)電位差(C)壓力差(D)濃度差。
22. 欲輸送氣體並使其壓力由原來的 1 大氣壓增高至 10 大氣壓時,應該使用(A)鼓風機(B)壓縮機(C)抽風機(D)風扇。
23. 利用動物排泄物醱酵得到沼氣來發電,屬何種能源應用(A)核能(B)石化能源(C)太陽能(D)生質能。
24. 稀硫酸溶液的製備方法是(A)配製時與添加次序與水無關(B)在攪拌下加濃硫酸於水中(C)在攪拌下加水於濃硫酸中(D)水與濃硫酸兩者一起倒入混合。
25. 經過合成所生成之氨氣產品,大部分是如何處理(A)通入水中以生成氨水(B)立刻和酸反應生成酸性的銨鹽(C)用吸收劑加以吸收(D)經冷卻液化而成液氨。
26. 物質熱傳導度大小的次序為(A)液體>金屬>氣體(B)金屬>非金屬>氣體(C)氣體>液體>金屬(D)液體>氣體>金屬。
27. HOOC(CH2)2COOH 是下列何種化合物之示性式(A)檸檬酸(B)琥珀酸(C)草酸(D)酒石酸。
28. 第二屬陽離子中,何者具有顏色?(A)(B)(C)(D)。
29. 在使用奧斯瓦黏度計(Ostwald viscometer)測定液體之黏度時,下列敘述何者錯誤?(A)必須在恆溫槽中測定(B)溶液的濃度已知即可,太高或太低對於結果沒有影響(C)測定溶劑的黏度以做比較(D)要測定的溶液若含有懸浮粒子,應先行過濾。
30. 燃燒 220g 的丙烷(M=44g/mol)時,若使用 50%過量的空氣,則在 STP 下需要多少公升的空氣(假設1mol 空氣由 0.8mol 之 N2 和 0.2mol 之 O2 所組成)?(A)5400(B)6200(C)4200(D)1250。
31. 下列何者非化工單元操作?(A)萃取(B)氣體吸收(C)蒸餾(D)硝化。
32. 在工廠設備上儀表 值為若干 1bm.ft/1.sec?(A)9.8(B)980(C)32.174(D)1。
33. 下列之選項,何者可用來表示油脂之新鮮程度?(A)皂化價(B)碘價(C)醯化價(D)酸價。
34. 下列有關原子質量數的計算,何者是對的? 原子內(A)質子數+中子數(B)電子數+中子數(C)電荷數+質子數+中子數(D)質子數+電子數。
35. 在矽晶中加入下列何種元素,可得到 N 型半導體?(A)硼(B)鍺(C)磷(D)鋁。
36. 下列何種物質在水中的溶解度會隨溫度之升高而增(A)Na2SO4(B)CO2(C)Ce2(SO4)3(D)KNO3。
37. 下列各種的水泥成分中,何者不是由黏土質原料所提供(A)CaO(B)Fe2O3(C)SiO2(D)Al2O3。
38. 內含某陽離子的丙酮溶液,當加入 NH4SCN 後,溶液呈藍色,則此溶液內含有何種離子?(A)(B)(C)(D)。
39. 用同種測定方法測定同一樣本,並反覆做無限次的測定,數據分配的平均值與真值之間一定有差異,這種差異的大小稱為(A)可靠度(B)測定度(C)精密度(D)準確度。
40. 下列各種樹脂用的添加劑中,何者的功用是在於確保樹脂於加工或使用期間,不因光或熱的作用而發生劣化現象(A)發泡劑(B)可塑劑(C)安定劑(D)著色劑。
41. 欲降低由玻璃部分侵入之熱負載,下列的改善方法何者錯誤?(A)換裝雙層玻璃(B)裝設百葉窗(C)貼隔熱反射膠片(D)加裝深色窗簾。
42. 下列關於流量計的敘述,何者為錯誤?(A)皮托管測定的缺點為不能測量稍帶固體微粒或黏滯的流體(B)浮子流量計是屬於變面積式流量計(C)家庭用的水錶是往復活塞式體積流量計(D)孔口板流量計屬於差壓式流量計。
43. 雇主於臨時用電設備加裝漏電斷路器,可減少下列何種災害發生?(A)物體倒塌、崩塌(B)墜落(C)感電(D)被撞。
44. 某生產程序中每小時需使用 60wt%的硫酸 1000kg,若 60wt%的硫酸是用 80wt%的濃硫酸及 30wt%的稀硫酸混合而形成,應如何配製才能得到所需要的硫酸?(A)濃硫酸 600kg/hr(B)稀硫酸 300kg/hr(C)稀硫酸 800kg/hr(D)濃硫酸 300kg/hr。
45. 關於高分子物質特性的敘述,下列何者錯誤(A)高分子物質大多由各種不同分子量的分子集合而成,故其分子量常以平均分子量表示(B)高分子物質因其分子巨大,致分子間有強大吸引作用,故無氣態存在而僅有固態與液態兩種(C)分子內之親水基含量較多時,則該高分子物質將具耐水性但耐油性差(D)線狀構造的高分子物質在膨潤後,有機會逐漸完全溶解而變成膠狀液。
46. 兩批鋼管之標準公稱直徑(standard nominal diameter)為 1in.,而其目錄號碼(schedule number)分別為 40 及 80,試問兩者之何種規格相同(A)外直徑(B)單位長度之管重(C)管壁厚度(D)內直徑。
47. 行(受)賄罪成立要素之一為具有對價關係,而作為公務員職務之對價有「賄賂」或「不正利益」,下列何者「不」屬於「賄賂」或「不正利益」?(A)招待吃米其林等級之高檔大餐(B)免除債務(C)開工邀請公務員觀禮(D)送百貨公司大額禮券。
48. 質量不滅定律不適用於(A)酸鹼中和的反應(B)一般的有機化學反應(C)核反應(D)氧化還原反應。
49. 用熱電偶來測量燃燒爐中流體的溫度時會有誤差,該誤差主要係因何者引起?(A)流體之流動(B)熱對流(C)熱傳導(D)熱輻射。
50. 往復式泵浦之泵出量會呈波浪狀,因此都在其出口管線上裝設何種裝置以降低脈動現象?(A)空氣室(B)放洩閥(C)壓力控制器(D)流量控制器。
51. 下列關於卡氏微量水分測定的敘述,何者錯誤(A)卡爾費雪(Karl-Fisher)滴定法是屬於酸鹼中和滴定的反應(B)當採用卡爾費雪滴定法來滴定時,若溶液的顏色由黃色變成棕色時,即表示到達滴定之終點(C)卡爾費雪滴定時醛類會造成干擾,致影響到測定的計量關係(D)卡爾費雪試劑成分是 I2、SO2 和C5H5N。
52. 成形之玻璃置於適當溫度的室內而令其徐徐冷卻,是為防止應變或除去內應力,此項作業稱之為(A)整修(B)熱處理(C)冷凝(D)退火。
53. 酸鹼滴定所用之指示劑其本身為(A)弱酸或弱鹼(B)非離子性(C)中性(D)強酸或強鹼。
54. 下列何者「非」屬於營業秘密?(A)須授權取得之產品設計或開發流程圖示(B)具廣告性質的不動產交易底價(C)客戶名單(D)公司內部管制的各種計畫方案。
55. 哪一種家庭廢棄物可用來作為製造肥皂的主要原料?(A)回鍋油(B)熟廚餘(C)食醋(D)果皮。
56. 下列何者為節能標章?(A)(B)(C)(D) 。
57. 海水中陰離子的主要來源是?(A)岩石風化(B)火山活動(C)生物代謝(D)空氣的溶解。
58. 25℃,1atm 下某空氣之水蒸氣分壓為 14mm-Hg,若在 25℃時的飽和水蒸氣壓為 21mm-Hg,則該空氣的相對濕度是為多少%(A)54%(B)34%(C)67%(D)41%。
59. 下列何者不是碳的同素異形體?(A)奈米碳管(B)金剛石(C)木炭(D)石墨。
60. 在蒸發器之附件中,其功能為排除加熱蒸氣之冷凝水的是(A)晶體濾除器(B)袪水器(C)冷凝器(D)霧沫分離器。
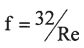
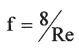
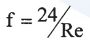
61. 若流體在圓管中呈層流流動,則摩擦係數(f)與雷諾數(Re)之關係為(A)(B)(C)(D) 。
62. 在流體輸送中,為防止流體回流需要安裝(A)單向閥(B)閘閥(C)球閥(D)安全閥。
63. HNO3 當酸使用時濃度為 0.2N,若當氧化劑,且其反應生成 NO,則使用時其濃度為多少 N?(A)0.1N(B)0.4N(C)0.8N(D)0.6N。
64. 下列單位何者不是長度的因次?(A)英呎(ft)(B)公分(cm)(C)公斤(kg)(D)英吋(in)。
65. 下列何者不是目前台灣主要的發電方式?(A)地熱(B)燃氣(C)核能(D)燃煤。
66. 下列之化合物,何者的分子內不含有羥基的官能基?(A)苯二甲酸(B)甘油(C)酚(D)乳酸。
67. 如果公司受到不當與不正確的毀謗與指控,你應該是:(A)相信公司,幫助公司對抗這些不實的指控 (B)不關我的事,只要能夠領到薪水就好(C)加入毀謗行列,將公司內部的事情,都說出來告訴大家(D) 向媒體爆料,更多不實的內容。
68. 陳先生到機車行換機油時,發現機車行老闆將廢機油直接倒入路旁的排水溝,請問這樣的行為是違 反了(A)飲用水管理條例(B)道路交通管理處罰條例(C)廢棄物清理法(D)職業安全衛生法。
69. 有關觸電的處理方式,下列敘述何者錯誤?(A)通知救護人員(B)把電源開關關閉(C)立即將觸電者拉離 現場(D)使用絕緣的裝備來移除電源。
70. 通電入下列各金屬離子水溶液中,若欲析出相同的重量,則何者所耗的電量最大(Sn=119,Pb=207,Cr=52,Cu=64)?(A)(B)(C)(D)。
71. 賦予塗膜色彩並使塗膜因而具有遮蔽的能力的成分為(A)顏料(B)硬化劑(C)可塑劑(D)乾燥劑。
72. 在冷凍系統中之熱量傳送,主要是利用冷媒之(A)顯熱(B)汽化熱(C)解離熱(D)昇華熱。
73. 下列何種患者不宜從事高溫作業?(A)近視(B)重聽(C)心臟病(D)遠視。
74. CH3CHO 與 HCN 反應後,水解可得到下列何種生成物?(A)乙羥酸(B)丙酸(C)乙氰醇(D)乳酸。
75. 經勞動部核定公告為勞動基準法第 84 條之 1 規定之工作者,得由勞雇雙方另行約定之勞動條件, 事業單位仍應報請下列哪個機關核備?(A)勞動部(B)當地主管機關(C)勞動檢查機構(D)法院公證處。
76. 在準確度要求高而溫度跨距(span)窄的場合量測溫度,宜使用(A)紅外線溫度計(B)白金電阻式溫度計 (C)雙金屬溫度計(D)熱電偶溫度計。
77. 在下列熱傳送的問題中,何者有發生相變化的現象?(A)沸騰(B)自然對流(C)輻射(D)強制對流。
78. 欲鑑別 HNO3 及 HNO2 時,可使用下列何種試劑?(A)KMnO4(B)Na 2 S 2 O3(C)Na 2 C2 O4(D)KSCN。
79. 某元素之各游離能數據分別為:E1=138,E2=408,E3=718,E4=2810kcal/mole,則該元素的價電子數有多少個?(A)1 個(B)3 個(C)4 個(D)2 個。
80. 小美是公司的業務經理,有一天巧遇國中同班的死黨小林,發現他是公司的下游廠商老闆。最近小美處理一件公司的招標案件,小林的公司也在其中,私下約小美見面,請求她提供這次招標案的底標,並馬上要給予幾十萬元的前謝金,請問小美該怎麼辦?(A)收下錢,將錢拿出來給單位同事們分紅(B)退回錢,並告訴小林都是老朋友,一定會全力幫忙(C)朋友一場,給他一個比較接近底標的金額,反正又不是正確的,所以沒關係(D)應該堅決拒絕,並避免每次見面都與小林談論相關業務問 題。