所屬科目:研究所、轉學考(插大)◆電磁學
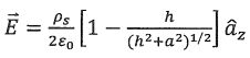
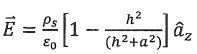
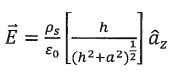
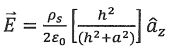
1. A circular disk of radius a is uniformly charged with ρs C/m². If the disk lies on the z=0 plane with its axis along the z-axis, What is the electric field that at point (0, 0, h)? (A)(B) (C) (D)
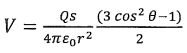
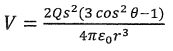
2. The linear electric quadrupole is a set of three charges as shown in the following figure. The separation s is again much smaller than the distance r to the point P. What is the potential V at the point of P: (A)(B)(C)(D)
3. There is a sector of a spherical shell with the cross section as shown in the figure (where 0≤α<2π) What is the resistance between the top and bottom bases of the sector? (Assume that the electrical conductivity of the sector material is σ) (A) R = (B) R = (C) R =(D) R =
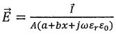
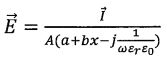
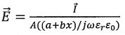
4. A parallel-plate capacitor has plates of area A separated by a distance s. Its dielectric has a conductivity σ=a+bx, where x is the distance to one plate and a uniform relative permittivity εᵣ. With an alternating voltage with the angular frequency ω across the electrodes, there is a current I flowing through the dielectric. What is the electric field in the capacitor? (A) (B)(C) (D)
5. The plane boundary defined by z=0 separates air (z ≥ 0) from a block of iron (z ≤ 0), of which μ = 5000μ₀. If = x̂4 - ŷ6 + ẑ12 is the magnetic field in air, what is the magnetic field in iron: (A) = x̂0.0008 - ŷ0.0012 + ẑ12 (B) = x̂4 - ŷ6 + ẑ60000 (C) = x̂4 - ŷ6 + ẑ0.0024 (D) = x̂20000 - ŷ30000 + ẑ12
6. Which material type in the following has negative magnetic susceptibility, thus the direction of the induced magnetic dipole moment is opposite to the corresponding applied magnetic field: (A) Paramagnetic material (B) Diamagnetic material (C) Ferromagnetic material (D) None of the above material have negative magnetic dipole moments
7. Which following equation is not one of the Maxwell's equations: (A) (B)(C) (D)
8. The plates of a parallel-plate capacitor has areas of 10 cm² each and are separated by 1 cm. The capacitor is filled with a dielectric material with ε = 4ε₀, where ε₀ = 8.85 × 10⁻¹² F/m, and the voltage across it is given by V(t) = 30cos(2π×10⁶t) (V). What is the displacement current? (A) Id = 2.4πε₀ × 10⁷sin(2π × 10⁷t) ( A ) (B) Id = 2.4πε₀ × 10⁹cos(2π × 10⁷t) ( A ) (C) Id = 2.4πε₀ × 10⁹sin(2π × 10⁷t) ( A ) (D) None of the above.
9. Considering a plane electromagnetic wave traveling in a material with a permittivity ε and a permeability μ, what is the phase velocity of the wave? (A) (B) (C) με (D) none of the above.
10. The instantaneous expression of the electric field of a plane wave in vacuum is given by (z,t) = âx E₀cos(ωt - βz). The intrinsic impedance (also called the wave impedance) is η₀. What is the instantaneous expression of the Poynting vector? (A) (B)(C) (D) none of the above.
11. A linearly polarized plane wave () with a frequency of 100 MHz propagates in vacuum in the +z direction. It impinges normally on a perfectly conducting plane at z = 0 and gets reflected. The reflected wave is denoted by (). The incident and the reflected waves form a standing wave. Determine the location nearest to the conducting plane where the total magnetic field +is zero. (A) z = -3 (m) (B) z = -1.5 (m) (C) z = -0.75 (m) (D) none of the above.
12. Total internal reflection can occur at the interface between water and air. Assume the refractive index of water is 1.33. Which one of the following is closest to the critical angle at the water-air interface? (A) 36° (B) 42° (C) 45° (D) 49°.
13. The following characteristics have been measured on a distortionless lossy transmission line at 100 MHz: Characteristic impedance: Z₀ = 50 Ω attenuation constant: α = 0.0869(dB/m) phase constant: β = 0.8π (rad/m) please evaluate the value of the R in the RLGC model for this distortionless lossy transmission line. (A) 0.1 Ω/m (B) 0.5 Ω/m (C) 4.345 Ω/m (D) none of the above
14. Given a load with a reflection coefficient ΓL = 0.7 ej7/6πunder the characteristic impedance (Z₀), as the figure shown below. Now, we use a transmission line with characteristic impedance of Γline and length of l to match this load to the characteristic impedance (Z₀). Which Zline in the selection items have the best matching condition? (A) 0.33 Z₀ (B) 3.06 Z₀ (C) 0.72 Z₀ (D) Z₀
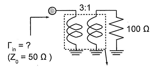
15. Evaluate the input reflection coefficient (Γin) of the circuit constructed with an ideal transformer and a resistor as the figure shown below. It is noted that the characteristic impedance for evaluating the reflection coefficient (Z₀) is 50 Ω. Please select the most close value Γin between the selection items(A) -0.89 (B) 0.3 (C) 0.89 (D) -0.3
16. A d-c voltage (6V) is applied at t=0 directly to the input terminals of an 25-Ω terminated lossless coaxial of 3m length as the figure below. The initial condition of voltage and current of the cable are 0V and 0A. The dielectric constant (∈r) of the insulating material in the cable is 4, and the characteristic impedance of the cable (Z₀) is 50Ω. Determine the voltage value at the midpoint of the line at 60μs. (A) 6V (B) 5.3V (C) 4V (D) none of the above
17. A parallel-plate waveguide has the two plates separated by 1 cm and is filled with a lossless dielectric with a dielectric constant of 2.1. What's the total number of waveguide modes that can propagate with the operating wavelength of 3 mm? (A) 14 (B) 16 (C) 9 (D) none of the above
18. For the design of symmetric dielectric slab waveguides, given the conditions(i) smaller refractive index contrast (ii) thicker core layer (iii) higher operation frequency, how many conditions above will let the waveguide more likely to be single-moded? (A) 1 (B) 2 (C) 3 (D) none of the above
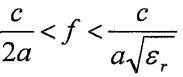
19. One air-filled rectangular waveguide is connected to the other rectangular waveguide filled with a dielectric characterized by the dielectric constant εᵣ. Both waveguides have identical dimensions with a=2b. What's the exact expression for the frequency range over which single-mode operation will occur in both waveguides? (A) (B)(C)(D) none of the above
20. For an air-filled parallel plate waveguide, if the zigzag angle φ defined below is 36.87° for the TE₂ mode, what would it be for the TE₁ mode at the same frequency?(A) 72.54° (B) 25.84° (C) 17.45° (D) none of the above