所屬科目:研究所、轉學考(插大)◆電磁學
1. Given the vector function A = 3x²eˣx̂ + x³y³ŷ. Please evaluate ∮ around the rectangular area from P₁(0,0,0), to P₂(3,0,0), to P₃(3,4,0), to P₄(0,4,0), and back to P₁(0,0,0). (A) 0 (B) 864 (C) 1728 (D) None of the above
2. A point charge Q is placed at the original point inside a hollow sphere, as shown in the figure below. The material of the hollow sphere is perfect electrical conductor (PEC). The total outward flux of the electric field intensity over the closed surface S (∮) is: (A) 0 (B) Q/ε₀ (C) -Q/ε₀ (D) None of the above
3. A lossy dielectrics (conductivity = σ, absolute permittivity = ε) is placed between two parallel perfect metal plates, as shown in the figure below. The areas of the metal plates are A (A = W×L). The distance between the metal plates is d and is much smaller than the length or width of the metal plates (d << W and d << L). Applying a voltage V₀ between the perfect metal plates, please evaluate the ratio between the storage energy and dissipated power of this structure (Estorage/Pdiss). (A) (B) (C) (D) None of the above
4. Given two problems (Problem A, and Problem B) in the free space shown below. Assume the solution of the scalar electrical potential distribution of Problem A is Vₐ, and the solution of the scalar electrical potential distribution of Problem B is Vb. Please evaluate: [Vₐ(x,0,z) - V_b(x,0,z)] ∇[Vₐ(x,0,z) - Vb(x,0,z)] · ŷ dxdz (A)(B) (C) 0 (D) None of the above
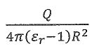
5. A positive point charge Q is at the center of a spherical dielectric sphere with radius of R. The material of this dielectric sphere is simple medium with relative permittivity of εᵣ. Please evaluate the equivalent polarization surface charge density (or bound surface charge density) of the surface of the sphere. (A) 0 (B) (C) (D) None of the above
6. A charge is moving in a magnetic field. Which of the following statements is true? (A) The magnetic field does no work on the charge only if the magnetic field is static. (B) The magnetic field does no work on the charge only if the magnetic field is time-dependent. (C) The magnetic field never does work on the charge. (D) None of the above.
7. The mutual inductance between two coils is M. Which of the following statements is true? (A) When the currents of two coils are doubled, their mutual inductance is halved. (B) The mutual inductance is changed when the materials of the coils are changed. (C) Mutual inductance depends on the geometry of the coils, specifically their shape, size, and the relative positions of their windings. (D) None of the above.
8. A solenoid has n turns per unit length. The self-inductance of a solenoid is proportional to (A) n (B) n² (C) n³ (D) None of the above
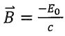
9. A sinusoidal electromagnetic wave in vacuum has an electric field E = E₀ sin(kz - ωt) ŷ. What is its magnetic field B? c the light speed. (A)sin(kz - ωt) x̂ (B) sin(kz - ωt) x̂ (C) cos(kz - ωt) x̂ (D) None of the above
10. Which of the following statements about the skin depth of a metal is true? (A) The skin depth increases if the frequency of the electromagnetic wave decreases. (B) The skin depth increases if the conductivity of the metal increases. (C) The skin depth does not depend on the conductivity of the metal. (D) None of the above.
11. A uniform plane wave travels in a dielectric medium. The electric field component is given by(y,z,t) = 2400π × cos(2π × 10⁸t - 8πy + 6πz + π) x̂ (V/m). Assume this dielectric medium is lossless and non-magnetic. Which of the following statements is correct? (A) The wavelength in the dielectric medium is 5 m. (B) The dielectric constant εᵣ is 15. (C) The amplitude of the magnetic field in y-direction (Hy) is 16 A/m. (D) None of the above
12. Consider a plane electromagnetic wave propagates from one medium (air, n₁ = 1.0) to the other (glass, n₂ = 1.5) at oblique incidence. Both media are nonconducting, linear, homogeneous, non-magnetic. The electric field is perpendicular to the plane of incidence. (A) The transmittance is about 99.8% ± 0.1% if the angle of incidence is 60°. (B) The Brewster's angle is about 56.3° ± 0.1°. (C) All of the above. (D) None of the above.
13. A load Z_L = 121 Ω is to be matched to a transmission line with characteristic impedance Z₀ = 16 Ω. Four quarter-wave transmission lines with various characteristic impedances: Z₁ = 25 Ω, Z₂ = 28 Ω, Z₃ = 36 Ω, and Z₄ = 77 Ω are available. Which of the following statements is correct? (A) Combination of Z₁ and Z₃ can achieve this matching. (B) Combination of Z₂ and Z₄ can achieve this matching. (C) Combination of Z₁, Z₂, and Z₃ can achieve this matching. (D) None of the above.
14. A normalized loading impedance zL has its reflection coefficient indicated as point A on the Smith chart (shown in following figure). Assuming λ is the wavelength, what is the most likely length for the transmission line to move the impedance from the point A to the point B?(A) λ (B) λ/2 (C) λ/3 (D) λ/4
15. Following the previous question, what is the standing-wave ratio of the normalized loading impedance zL at point A? (A) (B) (C)(D) None of the above
16. There is a hollow cavity made of copper with the dimensions of a = b = d = 2 cm. Assuming the quality factor, Q =, of the TE₁₁₁ mode in this cavity is 11500, what is the closest cavity bandwidth (Δf) of the mode TE₁₁₁? (A) 1.13 MHz (B) 1.33 MHz (C) 1.41 MHz (D) 1.52 MHz
17. A wave propagating along the z-direction in a dielectric-filled rectangular waveguide of unknown permittivity has dimension a = 5 cm (x axis) and b = 3 cm (y axis). If Ez = 0, and the x component of its electric field is given byEx = -40 cos(40πx) sin(100πy) sin(4.8π × 10¹⁰t - 52.9πz) (V/m) What is the mode number? (A) TE₂₃ (B) TM₁₂ (C) TE₂₄ (D) None of the above
18. There is a hollow rectangular waveguide with a = 3 cm (x-axis) and b = 2 cm (y-axis). What is the cutoff frequency for transmitting only a single mode: (A) 3.0 GHz (B) 4.0 GHz (C) 5.0 GHz (D) None of the above
19. Microstrips are used in integrated circuits to connect various microwave circuit elements, such as to connect generator and antenna. Generally, only the fundamental mode will be considered in circuit design though many other modes could be transmitted in microstrips. What is the fundamental mode type supported in microstrips: (fringing effect is not considered here) (A) TE modes (B) Hybrid modes (C) TM modes (D) None of the above
20. A hollow cavity made of copper (shown as below) has the dimensions of a = 4 cm (x-axis), b = 2 cm (y-axis), and d = 3 cm (z-axis). What is the resonance frequency of the TE₁₀₁ mode? (A) 15.0 GHz (B) 8.39 GHz (C) 9.01 GHz (D) 6.25 GHz