所屬科目:工程經濟學
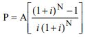
四、某公司欲添購一機器設備以滿足未來 8 年之生產計畫,目前有 A、B 兩型號可供選擇,相關成本資料如下表:假設年名義利率(Nominal Interest Rate)為 10%,每半年複利,若以8年為評估期,則型號 B第 8年之殘值範圍為何,會使公司偏好選擇 B型機器。(25 分)參考公式: