所屬科目: iPAS◆資料處理與分析概論◆初級
16.如附圖所示之程式碼,若使用 XPath 的語法要選擇在 plate 標籤層下的 apple,下列哪一項錯誤?(A) //plate/apple (B) /div/plate/apple (C) /plate/apple (D) //apple[1]
18.如附圖所示,Hadoop 最基本架構包含下列哪些項目?(A) (1)和(2) (B) (2)和(3) (C) (3)和(4) (D) (1)(2)(3)(4)
20.如附圖所示,有一個 data 數列,請問經過 MapReduce 模型處理的結果, 下列哪一項正確?(A) 15 (B) 55 (C) 25 (D) 49
21.如附圖所示為某產品每月市場需求的機率分配,請問該產品每月需求量之 期望值,下列哪一項正確? (A) 387 (B) 420 (C) 299 (D) 361
26.如附圖所示為 Python 語言,mydist 函數回傳是什麼結果?(A) 歐幾里得距離(Euclidean distance) (B) 曼哈頓距離(Manhattan distance) (C) 馬氏距離(Mahalanobis distance) (D) 餘弦相似(Cosine similarity)
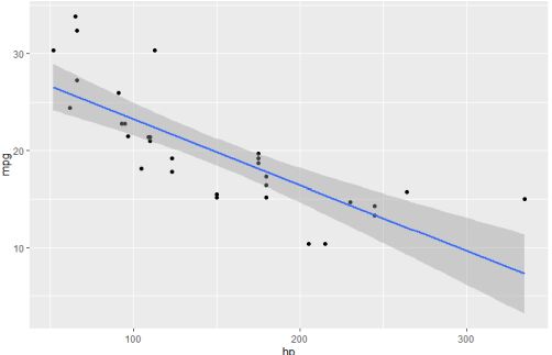
32.如附圖所示為 R 語言,執行 ggplot2 套件視覺化分析,下列敘述哪一項正確?(A) hp 與 mpg 變數呈現正相關 (B) 使用以下函數可繪製題目之結果 (C) hp 與 mpg 變數無明顯相關性 (D) 使用以下函數可繪製題目之結果
47.如附圖所示,關於二元分類(binary classification),若一分類模型產生之 混淆矩陣(confusion matrix),該模型之精確度(precision)為下列哪一項?(A) 3 / 11 (B) 8/ 20 (C) 19 / 34 (D) 8 / 11
49.如附圖所示,針對同一份資料建立的四種複迴歸模型,根據各種模型之指標資訊,請問下列哪一個為最佳模型?(A) 模型 1 (B) 模型 2 (C) 模型 3 (D) 模型 4