所屬科目:教甄◆生物專業
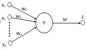
4. 下圖為神經系統內運作的示意圖,X表示突 觸前神經元,Z表示動器,關於以下描述, 何者正確? (A)X1~Xn傳遞而來的訊息至 Y整合有可能成為抑制性訊號,而無法傳訊 至Z (B)W1~Wn的訊號不可能進行跳躍傳 導 (C)Z若為心肌,則M末端必釋出乙醯膽鹼 (D)Z若為腎上腺髓質,其分泌物能促進膀胱逼尿肌收縮。
7. 某研究人員在通過生物安全規範檢定的微生物實驗室,對某細菌進行兩種抗生素感受 性分析,該員將超級細菌分別接種在含有不同濃度抗生素 A 與 B 的培養盤中(下圖, +愈多代表濃度愈高,0 代表不含抗生素)。在 37℃培養 24 小時後,觀察菌落生長結 果如下圖,以下描述何者正確? (A)細菌對抗生素A具抗藥性 (B)抗藥性菌株的產生與抗藥性細菌的繁殖及抗藥性基 因水平轉移有關 (C)此實驗應是以紙錠擴散法所進行的抗生素感受性分析 (D)抗生 素A較適合應用在基因工程,添加在培養基,篩選出此種細菌。
12. 甲、乙、丙、丁為大腸桿菌的四個失去合成色氨酸能力的突變體。色氨酸生合成的路 徑包含數個步驟及中間產物 A、B、C、D、E。下表為添加各中間產物於沒有色氨酸 的培養基後,各突變體的生長情形,「+」表示能生長,「-」表示不能生長。根據下表的結果判斷,突變甲的代謝障礙發生在何處? (A)由 D→A (B)由 A→B (C)由 C→D (D)由 B→E
14. 生存在某地區的物種,在消長過程中,原有群集內的優勢物種,其地位可能會被其他 物種所取代。在某群集經歷森林大火後的消長過程中,甲、乙和丙為三種植物,其優 勢物種改變順序為甲→乙→丙,目前已經達到長期穩定的狀態,若選項中各圖的縱軸 為物種個體數,橫軸為時間,則群集中生物組成的改變情形,下列何者最為可能? (A) (B) (C) (D)
18. 下圖表示某神經細胞的動作電位,絕對不反應期表示無論刺激多大,細胞都不會有反應的階段,而相對不反應期指該階段對一般該有反應的刺激沒反應,但若有很強的刺激,則仍會有反應。此神經細胞產生的動作電位頻率,最多可以到達每秒多少次? (A)5次 (B)50次 (C)500次 (D)5000次。
30. 參考下圖草莓的構造,關於草莓花開花後結出草莓的過程與此種果實特性,哪些正確? (A)由A的位置可知,其子房位於花萼的下方,屬於子房下位花 (B)由B的數量可知, 草莓是由一朵花的許多雌蕊受精後共同發育而成 (C)C的發育,受到B分泌的生長激 素影響 (D)此種果實的形成方式與桑椹相似,稱為集生果。
32. 在豌豆遺傳性狀中,高莖對矮莖為顯性,紅花對白花為顯性,寬葉對窄葉為顯性。 小明進行了一組交配實驗,所得的子代表型與數目如下: 根據上述結果判斷,下列哪些敘述是正確的?(A)控制高度與葉寬的二個基因座位 在同一染色體上 (B)控制花色與高度的二個基因座位在同一染色體上 (C)花色基因 座與高度基因座的距離為4互換單位 (D)花色基因座與葉寬基因座之距離是96互換 單位。
34. 小明在操作光反應之化學滲透實驗時,於試管中加入等張溶液及類囊體,再加入 ADP 及 Pi,並將溶液配製成各種不同酸鹼值,如圖中的數字所示,試問下列哪些裝置可以 產生 ATP? (A) (B) (C) (D)
37. 下圖為脊髓與脊神經傳遞訊息的相關構造,下列敘述哪些正確? (A)乙為神經細胞本體聚集處,應稱為中樞神經 (B)甲包含了運動、感覺與聯絡神經元 (C)丁較靠近人體腹面;丙靠近背面 (D)甲中包含體神經。
39. 有關離子在生物體內的功能或作用,下列敘述哪些正確? (A)神經軸突末梢內濃度升高,能夠促使神經傳遞物的釋放 (B)血漿中濃度上升,能夠降低血液的 酸鹼值 (C)神經細胞內濃度減少,能夠促進神經元的去極化 (D)血液中濃度上升,能夠促使呼吸運動的頻率與深度增加。
40. 呼吸作用的哪些步驟可以產生? (A)乳酸形成 (B)丙酮酸形成 (C)水形成 (D)CO2形成。