所屬科目:教甄◆電子科/資訊科/電機科/冷凍空調科/控制科/電機空調科
2. 下列敘述,對矽質與鍺質二極體之障壁電位VK,及逆向飽和電流IS之比較,何者正確? (A) (B) (C) (D)
3. 如圖一所示為理想運算放大器電路,此電路為何種型式之主動濾波器?(設R1C1>R2C2)(A) 低通濾波器(B) 高通濾波器(C) 帶通濾波器 (D) 帶拒濾波器。
4. 如圖二為 Wilson 電流鏡(current mirror),若 Q1,Q2,Q3 相匹配且工作於主動區,即 ,則=
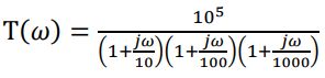
8. 有一迴路增益之轉換函數為 ,請問下列何者為其主要極點? (A)0 rad/sec (B)10 rad/sec (C)100 rad/sec (D)1000 rad/sec。
10. 如圖三,已知 D 為矽二極體,則 Vo 為 何? (A)1.5 (B)2.1 (C)3.3 (D)4.7 V。
11. 如圖四為一理想運算放大器,求 Vo 為何? (A)3.4 (B)5.8 (C)7.2 (D)9.6 V。
12. 如圖五所示電路 , 輸出 Y(A,B)=? (A) (B) (C) A ∙ B (D) A B。
14. 請簡化布林代數式 ,從下面選項選出適合答案。 (A) (B) (C) (D)。
15. 如圖六,Y 輸出函數與下列何者等效? (A)Y= A∙ B C (B)Y=A∙B C (C)Y= A B∙C (D)Y=A B ∙ C。
16. 如圖七,NMOS 組成之電路,求輸入端A、B、C、D、E、F 與輸出端 Y 的等 效布林運算式。(A) (A+B)‧(CDE+CF)(B)
(C)
(D) 圖七
19. 李沙育圖形法,若得如圖八,水平信號的頻率為600Hz,則垂直信號頻率為? (A)400Hz (B)600Hz (C)900Hz (D)1200Hz 。
21. 如圖九所示電路,開關原來為閉合狀態,電路為穩定狀態,若是在t =0時SW開路,在t =0.04 秒時 電感器上的電壓為? (A)0 伏特 (B)30 伏特 (C)30e-1 伏特 (D)80-30e-1 伏特。
24. 如圖十(每個電阻單位為歐姆),當很多電阻以相同模式串並聯時(只有最後一個電 阻 2Ω,其餘皆為 4Ω 與 3Ω),因電阻很多中間電路圖省略,求理想電壓源 30V 提供多少功率? (A) 80 W (B) 100 W (C) 120 W (D) 150 W。
2.如圖十二所示,為了使電源外之阻抗的功率因數PF=1,請問C值應該為多少? _______ 。
3.如圖十三(a)(b)所示之1∅2W與1∅3W電路,當所接的負載相同時,在相同的距離內傳送相同的負載功率,若1∅2W與1∅3W電路使不同粗細的導線?,但兩者損耗的電能相同時(),試求兩種線路的銅量比: 為多少? _______ 。
4.某電壓波形如圖十四所示,試計算波形因數FF為多少? _______ 。
5.如圖十五所示電路,試求跨於100 Ω電阻上的電壓v為何?_______ V 。
6.如圖十六所示為馬克士威電橋(Maxwell bridge),R1=10kΩ,R2=10kΩ,R3=5kΩ,C=0.1μF,當 Rx= (1) _______Ω、Lx= (2)_______H時,電路達到平衡。
7.如圖十七為三相三線Y-△平衡系統,負載為三組RL形成 △ 電路,每組RL為R = 4Ω 與 = 3Ω 串聯,已知an兩點電壓函數為 = 100 sin(ωt),求圖中電流 為何? _______。
8.如圖十八,電阻網路中,R 的電阻值可視為∞,求 a b 端等效電阻值=_______ 。
10.如圖十九所示電路,若電晶體為矽質(即V 0.7V ),其β值為100、V 4.7V 、V 10V 該電晶體電路輸出特性曲線如下:電晶體工作於Q點,請問電阻為多少? _______ 。
11.如圖二十,假設Q1Q2完全對稱且流入Q3 的 可忽略不計,求 = _______ 。 (答案請四捨五入至小數第一位)
12.日常生活中的基本常識:1 個世紀 100 年、1 小時 60 分鐘、1 天有 24 個小時、1 年 12 個月、1元等於 10 角、1 年有春夏秋冬 4 個季節、1 個季節有 3 個月……等等;這些基本單位的計算, 可以分別以 100 進制、60 進制、24 進制、12 進制、10 進制、4 進制、3 進制來表示。假若10 進制與 12 進制數值的對應如下表:
10 進制與 4 進制數值的對應如下表請問:12進制中的3A,若以4進制來表示為何? _______
13.請依照圖二十一之狀態圖,填入下列狀態表。
17.如圖二十二為一計數計,當 t=0 時,初值分別為000,請依序寫出經過3個clock時, 每一個clock後, 的狀態。 _______ 。
2.如圖二十四所示為橋式全波整流濾波電路,輸入電源頻率為 60HZ,若漣波因素為 γ,負載電阻 . 為 ,請證明漣波因素為γ%= × 100% (其中的單位 :kΩ,C:μF)。