所屬科目:教甄◆數學專業
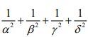
3. 設α 、β、γ 、δ 為方程式的四個根,求的值為 __________。
4. 設 0 ≤x ≤π ,求 的實根個數 __________。
5. 設地球為空間中一球體。今以地球球心為原點,地球半徑為單位長,建立一個直角坐標系。若地球表面上有甲、 乙、丙三地,甲、乙的坐標分別為 (1,0,0) 及 ,而丙地位於甲乙兩地之間最短的路徑上,且甲丙路徑長 為乙丙路徑長的 2 倍,求丙地的坐標________ 。
6. 已知一個長方體 ABCD PQRS − (如下圖所示),若在兩線段、 上分別取兩 點 M、N,使得兩直線平行,請求出兩線段的比值__________ 。
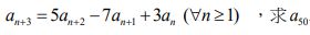
8. 已知數列 〈an〉 滿足 a1 =1 , a2 =1, a3 = 2,為幾位數___________ 。
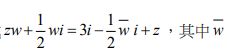
10. 設 = i 且複數 z 和 w 滿足 z = 3 及等式為 w 的共軛複數。 令的最大值為 M 、最小值為 m ,求數對 ( M, m) =________ 。
11. 求雙曲線 −x2 +y2 = 1 及兩直線 x =1、 所圍封閉區域面積 ____________。
12. 桃園高中 80 周年慶,師生想利用 8 個 8 組成一個校運昌隆數作為紀念,經過討論後決定以作為 此校運昌隆數。將此校運昌隆數展開後的各位數字和令為 A,再將 A 的各位數字和令為 B,求 B 的各位數字和 為___________ 。
13. 如下圖,三角形 ABC 中,三線段有一個共同交點 O,若= 4 且= 37 ,請求出之值__________ 。