所屬科目:教甄◆數學
41. 的個位數字為何? (A) 0 (B) 2 (C) 5 (D) 8
43. 算式之值為何? (A) (B) (C) (D)
44. 如圖,正方體的對角線為15,求此正方體之表面積為何? (A) 540 (B) 480 (C) 420 (D) 450
46. 在九宮格中,如圖,若每行、每列、對角線的和皆相同, 求a+b=? (A) 44 (B) 45 (C) 46 (D) 47
50. 小華在星期三出生,他三個死黨中,剛好有兩位也在星期三出生的機率為何? (A)(B) (C) (D)
52. 當我們騎著腳踏車時,會感到比較涼爽,那是因為我們感受的溫度(即體感溫度)會 受到空氣流動速率影響。例如在氣溫20°C 下,當空氣流動速率為1公尺/秒時,體感溫度為18°C 。下表是小林觀測到的數據: 依據上述資訊,判斷下列敘述,何者最合理? (A)在同樣的氣溫下,空氣流動速率愈快,體感溫度會愈高 (B)在同樣的空氣流動速率下,氣溫愈高,體感溫度會愈低 (C)氣溫、空氣流動速率與體感溫度三者間的關係式可能為 「體感溫度(°C ) = 氣溫(°C ) -2×空氣流動速率(公尺/秒)」 (D)氣溫、空氣流動速率與體感溫度三者間的關係式可能為 「體感溫度(°C ) = 氣溫(°C ) -2×」
54. 解二元一次聯立方程式,可得 x = a, y = b, 求a+b之值為何? (A) 1 (B) 2 (C) 3 (D) 4
56. 如圖,平行四邊形 ABCD 中, 分別為的高,且∠B=45°。若+=k ,則平行四邊形ABCD的周長為何?(A)(B) (C) 2k(D) 4k
57. 若f(x)=ax4-bx2+x+5 且 f (-3)=2 ,則 f (3) =? (A) 5 (B) 8 (C) 1 (D) 2
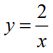
58. 坐標平面上,O為原點, 的圖形,如圖所示,其中 x > 0。今在此圖形上任找一點 A,過 A點分別作 x 軸與 y 軸的垂直線,交 x 軸於 B 點,交 y 軸於C 點,求四邊形 ABOC 的面積為何? (A) 1 (B) 2 (C) 3 (D) 4
59. 如圖,有81個小黑點且在水平方向與鉛直方向上的任意相鄰兩點間的距離均相等, 這81個點分布在一個正方形ABCD的内部與邊上,圖中P點為此正方形的中心點。 若從其餘的80個點(即P點不算)中任選一點Q,且每一個點被選中的機會相同,連接並延長,則直線PQ恰為正方形ABCD的對稱軸的機率為何? (A) (B) (C) (D)
60. 如圖,已知七角星共有以下2種,若在左圖中, ∠ 1~ ∠7 的度數和為a 度,在下圖中,∠ 1~∠7 的度數和為b 度,則a 、b 之值各為何? (A) a = 720,b =180 (B) a =540 ,b =180 (C) a =720 ,b = 270 (D) a =540 ,b = 270
61. 在圖形中, = 4 、= 3且∠ABC =∠ACD =∠DCE =∠ADE =∠DAB =90 ° ,求為何? (A) (B) (C) (D)13
62. 如圖,大長方形中有R1、R2、S1、S2、S3共5個區域,其中R1、R2都是長方形,S1、 S2、S3都是正方形。若圖中大長方形的長為3322,寬為2022,則圖中正方形S2的邊長為何? (A) 650 (B) 655 (C) 661 (D) 666
63. 判斷下列哪一個數是的質因數? (A) 41 (B) 43 (C) 47 (D) 53
64. 若a+1=b+2=c+3=d+4=a+b+c+d+5,則a+b+c+d= ? (A) −5 (B) (C) (D)
69. 如下圖,將邊長為 x + y 的正方形剪成甲、乙、丙、丁四塊,其中甲、乙是全等的 直角三角形,兩股長分別為 x、x + y ,丙、丁是全等的梯形,上下底長分別為 x 、 y ,高為 y 。今將甲、乙、丙、丁四塊重新組合,恰可拼成一個長方形,如下圖所示。已知 x < y ,則之值為何? (A) (B) (C)(D)
70. 之值為何? (A) 2 (B) (C) 1 (D)
71. 已知符號,求算式之值為何? (A) (B) (C) (D)
72. 已知 x 為一實數且,求之值為何? (A) 0 (B) 8 (C) (D)
75. 設數列滿足,則=? (A) (B) (C) (D)
78. 如圖,一正方形內有四個半徑為1的小圓,每個切正方形於兩邊,中間有一半徑為2 的大圓,與四小圓相切,求正方形的面積為何? (A) (B) (C) 36 (D)
79. 如圖,圓A與圓B相切,圓B與圓C相切,Q、A、B、C在一直線上,直線L切圓A、 圓B、圓C於點X,Y,Z。圓A半徑為1、圓B半徑為2,求=? (A) (B) 12π (C)(D) 10
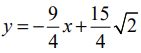
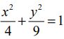
80. 過橢圓上一點之切線方程式為何? (A) (B) (C) (D)