所屬科目:教甄◆數學
1. ,求x(x2−3)之值為_________。
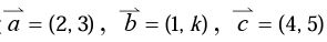
2. 平面上三向量 ,若方向上之正射影與方向上之正射影相同,求k之值為_________。
3. △ABC中,sinA:sinB:sinC=3:5:7 , 求cosA : cosB : cosC=_________。
4. 化簡:1+(1+r)+(1+r+r2)+...+(1+r+...+)=_____
5. 袋中有2顆紅色球、3顆白色球、5顆黃色球,每次從袋中取出1球,取後不放回,求紅色球最先取完的機率為_________ 。
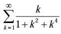
6. 計算之值為_________。
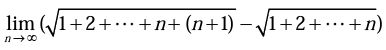
7. 計算之值為_________。
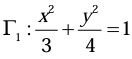
8. 將橢圓以原點為中心,依逆時針方向旋轉60 °得到橢圓Γ2,求橢圓Γ2的方程式為_________。
9. 求橢圓上任一切線在第一象限被x軸、y軸截出之線段長的最小值為_________。
10.A= { ( x, y) | (1-x )2 ≤y1-x2 },若對所有( x, y) x+y之最大值為M、最小值為m,求數對(M , m) =_________。
11. 正四面體ABCD之稜長為a , P點為正四面體ABCD內部任意點,求P點到正四面體ABCD四個面的距離之和為___________。
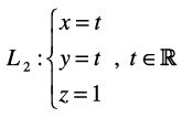
12. 正四面體ABCD,已知A, D兩點在直線上 ,B, C兩點在直線上,則四面體ABCD的體積為___________。
13. △ABC中,∠BAC=45°,=1,P 為以為直徑的半圓上一點,如下圖所示,∠PAB = θ,當θ=θ0 時△APC有最大面積M,求數對(θ0 , M) =___________。
14. A 為三位正整數 B 為四位正整數,且B > 8000 ,若 logB 的尾數為 logA 的尾數的 3 倍,則 A =___________。
15. 如下圖,圓 O1、O2交於 A、B 兩點,P 在 O2上 ∠APB = 60°、 = 3、 交 O2於 Q 且= 8,圓 O1、O2半徑的比值為___________。
16. sin29° + sin236° + 2sin9° ∙ sin36° ∙ sin45° =___________。
17. 若 1 , 2 , 3 , 4 ,……,999998 , 999999 , 1000000 這一百萬個正整數中,各位數字和不大於 10 的正整數有 k 個,例如:3211 就是其中一個,因為3+2+1+1=7≤10 。則 k 的值為___________。
18.除以101 ×102 的餘數為___________。
19. 解方程式 2x6 − 3x5 + 4x4 − 3x3 + 4x2 − 3x + 2 = 0 ,得到的 6 個根中,落在複數平面第一象 限的所有根為___________。
20. 解方程式,則 x=___________。