所屬科目:水文學
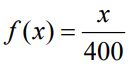
三、某一集水區在其雨季的平均降雨深度(cm)為一隨機變數(random variable),以 x 表示之,其機率密度函數(probability density function) x f ( x) 具有以下形式: ( 0 ≤ x ≤ 20 cm) 。該機率密度函數為對 400 稱型式,且在 x = 0~40 cm 間為一個等腰三角形。試寫出 20 ≤ x ≤ 40 cm 間的機率密度函數?試計算明年雨季降雨深度不會超過 10 cm 的機率? 試計算未來三年雨季降雨深度≥25 cm 的機率?(25 分)
四、某一集水區其二小時延時之單位歷線U (2, t ) 如下表所示: 若此集水區降下兩場各延時為 1 小時之雨量,其累積降雨深度為:已知入滲Φ指數為 2 mm/hr,河川基流量為 2 cms,試計算該集水區由於此降雨事件所形成之洪峰流量及洪峰到達時間?(25 分)