所屬科目:教甄◆數學
44. 設函數f(x)=,其中x為任意實數,若f (1)=2,則=? (A) (B) (C) (D)
46. 試問方程式log2+log4x+log4log2x=之實數解 x 為下列何者? (A) 1 (B)2 (C) 4 (D) 89
47. 將兩個大小相同正三角形,重疊放置而形成一個六角星形的圖案,其重疊部分的圖形正好是正六邊形(如圖)。如果這六角星形的周長是此正六邊形周長的 a 倍,這六角星形的面積是此正六邊形面積的 b 倍,則 a + b之值為何? (A) 3 (B) 4 (C) 6 (D) 8
48. 設n為正整數,如果二次函數y=的圖形與 x 軸交於二點, 如果線段之長為,則=? (A) (B) (C) 1 (D)
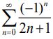
49. 試求無窮級數=? (A) (B) (C) (D)
50. 試問之值為何? (A) 1 (B)(C) 2 (D)
51. 設n為正整數,則=? (A) (B) (C)(D)
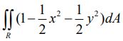
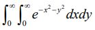
52. 計算重積分之值,其中區域R= {( x, y) | 0≤x≤1,0≤y≤1}。 (A) (B) (C) (D)
53. 試問無窮級數 之值為下列何者? (A) (B) (C) 1 (D)
54. 已知一多項式f(x)=,其中a,b為實數,如果將f(x)除以(x−2)2 ,得到餘式為,則b=? (A) -3 (B) -2 (C) 2 (D) 3
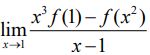
55. 已知f(1)=2, f'(1)=1,則=? (A) 1 (B) 4 (C) 5 (D) 6
56. 試求=? (A)(B)(C)(D)
57. 試問=? (A) (B) (C)π(D)
58. (A)1 (B)0 (C)(D)
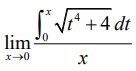
59. 的極限為 (A)不存在 (B)0 (C)(D)4
60. (A)1 (B) (C)e (D)ln 2
62. 函數 f(x,y) = 3x + 4y,在x2 + y2 = 1上的極大值為何? (A)4 (B) (C)5 (D)
63. 求 (A)128 (B)–146 (C)208 (D)–144
64. 下列敘述中何者恆為正確? (A)函數f(x)=在x = 0處連續 (B) 函數f(x)=|x| 在x = 0處可微 (C)如果級數收斂,則都收斂 (D)必為收斂級數
65. 已知一個袋子裡有 11 顆球,分別編號 1、2、3、...、10、11,今從袋子取出 6 顆球,如果 每顆球被取出的機會都相等,則取出的 6 顆球之號碼和是奇數的機率為何? (A) (B) (C) (D)
67. 下列何者是錯誤的? (A) 如果A為mxn階矩陣,則,其中表示 A 的轉置矩陣(transpose) (B) 已知 A、B 為矩陣使得 AB 有意義,則 rank(AB)≤rank( A )。 (C) 已知 A、B 為矩陣使得 AB 有意義,則 rank(AB)≥rank( B )。 (D)
68. 無窮級數=? (A) (B) (C) (D)π
69. 試問=? (A) 0 (B) 1 (C) 2 (D) 不存在
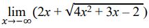
70. 求(A)發散 (B)1 (C) 2 (D)0
71. 針對 60 名確診患者,在入院當日與入院 10 日測量病毒量,假設病毒量指標接近常態分布,σ2未知,設定顯著水準α= 0.05,想了解入院當日與入院 10 日之平均病毒量指標有沒有統計上的顯著差異,請問下列何種為較適當的統計檢定方法? (A)卡方檢定 (B)ANOVA 之 F 檢定 (C)獨立樣本 t 檢定 (D)成對樣本 t 檢定
72. 若 A 和 B 為實數矩陣,下列選項何者一定正確? (A) AB ≠ BA (B)AB = BA (C)det(AB) = det( A )‧det( B ) (D)det(AB) ≠ det( A )‧det( B )
74. 若 A 為 R 的部份集合,且 f(x): A →R 為一連續函數。 甲:若 f(a) < m < f(b),則且 f(c) = m 。 乙:若 f(a) = f(b),則 且 f(c) = f(a) = f(b) 。 有關甲、乙的推論,下列選項何者正確?(A)甲和乙皆正確(B)僅甲正確(C)僅乙正確(D)甲和乙皆不正確
75. 請從函數圖形,判斷有關函數的敍述是否正確。 甲:f(x)為線性函數。 乙:g(x)為線性函數。 下列選項何者正確?(A)甲和乙皆正確(B)甲正確,乙不正確(C)甲不正確,乙正確(D)甲和乙皆不正確
77. 若 AR(實數),f(x), g(x): A →R;f(x) 和 g(x)皆為黎曼可積且 g(x)≠0,則
甲:f(x)。g(x) 為黎曼可積。
乙:為黎曼可積。
有關甲、乙的推論,下列選項何者正確? (A)甲和乙皆正確 (B)甲正確,乙不正確 (C)甲不正確,乙正確 (D)甲和乙皆不正確
78. 甲:若 乙: 下列選項何者正確?(A) 甲和乙皆正確(B)甲正確,乙不正確(C)甲不正確,乙正確(D)甲和乙皆不正確
79. 甲:
80. 已知a、b 、c皆為實數,如果=? (A) 0 (B) 1 (C) 2 (D) 3