所屬科目:工程數學(應用數學, 線性代數、微分方程、複變函數與機率)
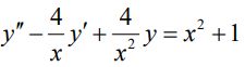
一、求 for x >0, 的通解(general solution) 。
二、求下列函數的拉普拉斯轉換(Laplace transform)。
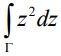
三、求,其中= t + it for 0 ≤ t ≤ 1。
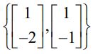
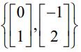
五、空間 A 以為基底,向量 x 在 A 中的座標為,則 x 在以為基底的空間 B 中的座標為何?
七、機率函數 p(x)如下表(a 為一常數): 先求a,再求該機率函數的期望值及變異數。