所屬科目:教甄◆數學
1. 設A(5 , −1 ,2),B(−5 , −1 , −6),點P在平面E: x + 2y + 3z − 6 = 0上 使有最小值,則點P的坐標為何?
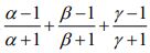
2. 已知α,β,γ為方程式x3-x-3=0 的三個根,試求=_____
3. 已知| x − 1 | ≤ 2,| x + y | ≤ 1,x, y ∈ ℝ,則x−2y之最大值為?
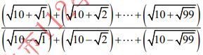
4. 求之值。
5. 設 a 為實數,且以下三數:成等比數列,求此數列的公比。
6. 試求 sin2 37° + cos2 7° − sin2 37° × cos2 7° =_______
7. 設 f(x) = x4 + ax3 + bx2 + cx + d ,其中 a, b, c, d 為常數,如果 f(1) = 1, f(2) = 2, f(3) = 3 ,試求[f(0) + f(4)] =_______
8. 試求=________
9. 如圖一,設O為複數平面上的原點,並令點A、B分別代表複數z1、z2, 已知|z1| = 2,|z2| = 3,|z2 − z1| =,試求|z12 + z22| 。
10. 設△ABC中,已知與x軸平行,若A(1,8),內切圓圓心為(0,0),半徑 4。 試問△ABC的垂心H坐標為?
11. 已知 A B, 為二階可逆方陣滿足A2+4AB=O,若, ,求 a。
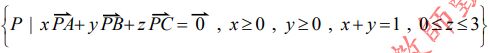
12. 給定平面上一個△ABC,P 為平面上的動點,
令集合S=, 則集合 S 的區域面積為△ABC的_______倍。
14. 試證明:2023 可以整除。
15. 設 a, b, c 為 ∆ABC 的三邊長,且x, y, z ∈ R,若有無限多組解,試證明 ∆ABC 為正三角形。
16. 試求=______